Главная >> Домашние работы к учебнику Мордкович. Алгебра 7 класс

Глава 5. Одночлены. Арифметические операции над одночленами

Умножение одночленов. Возведение одночлена в натуральную степень

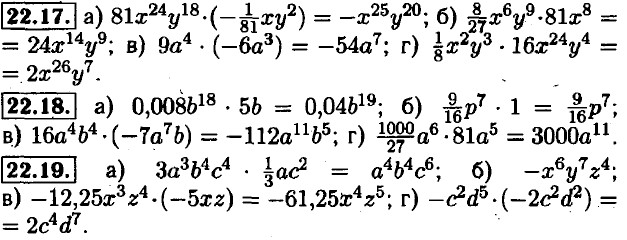
22.1. а) бху; б) 35аb; в) 93cd; г) 45zt.

22.2. а) 42аbс; б) 60x2y2z3; в) 100mnq; г) 17p2q2s3.

22.3. a) 210х7; в) 142х3у4z9; г) 54c3d5ƒ4.

22.4. а) 30а3b3; б) -164c3d2; в) 34х5у3; г) 26m3n4р4.

22.5 a) 1,08c5d4; б) -1,5х2у; в) -0,5b5; г) 12m3p4.

22.6. a) 0,48x3y5z2; б) 46n3q4; в) -0,075d7;

22.7. а) -10,2р4q12; б) -1,5z7; в) -15,62а2b3с4; г) 0,3х3у5.

22.8. а) 9а4c2; в) 0,0016c12d4; г) -16а4х12у8.

229. a) 1; б) 125а9х6; в) 100000х10у20; г) -16а4х12у8.

22.11. a) -4x6 • 6p9; 6) -2x2y3 • 2xy • 6x3y5; в) -2x2y3 • 2xy • 2xp • 3x2p4; г) -2x2y3 • 2xy • 2xy • 2xy • 1,5xp3.

22.12. a) * = 9b3 : 3b2 = 3b; 6) * = -8a5b5 : 8a2b4 = -a3b; в) * = 16a7b9 : (-4a3b4) = -4a4b5; r) * = -34a9b13 : (-17a8b12) = 2ab.

22.13. а) 36x6y12; 6) 16a4b12; в) -m15n5; г) -27a6b3c9.

22.14. а) (9a2)2; б) (6b3)2; в) (12c6)2; г) (13a2)3.

22.15. a) (0,2b2)3; 6) (0,3b3)3; в) (0,1y8)3;

22.16. a) 20a3 • 25a2 = 500a5; 6) -0,4x5 • 16x12 = -6,4x17; в) c6 • 12c6 = 12c12; г) 64a3c6 • 0,5a3c = 32a6c7.

22.20. a) a4b4; б) -x5p4; в) m11n10; г) -p6q7.

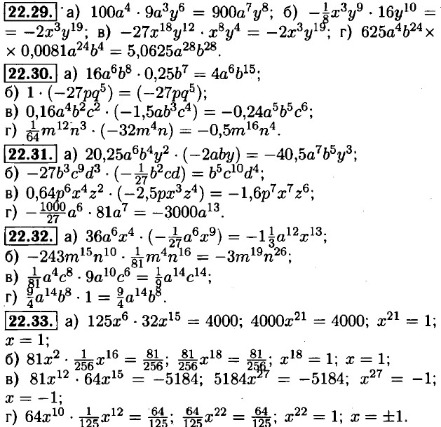
22.23. a) 0,25a4b6c18; 6) 0,0036m4n6p2; в) 256a64b40c72; г) -0,064x6y9z24.

22.24. а) 1; в) 2,56m6n4р18; г) 6,76r18s30t24.

22.25. а) (9a3b4c6)2; б) (4ху3z6)4; в) (5ху3z9)3; г) (12а3b5c9)2.

22.26. а) (6c3b4ƒ9)3; б) (3х2y5z8)5; в) (2р2q10р100)10; г) (4a9b54с324)4.

22.27. а) нет; б) нет; в) нет; г) (-4х3y27)3.

22.28. а) (5а5)2; б) нет; в) нет; г) нет.

22.34. а) 2bс; ас; б) -3р; х2у; в) cd; 2d3n; г) bn; 9b4t2.

<<< К началу

 

 

???????@Mail.ru