Главная >> Алгебра 7 класс. Задачник с ГДЗ. Мордкович

Глава 5. Одночлены. Арифметические операции над одночленами

§ 22. Умножение одночленов. Возведение одночлена в натуральную степень

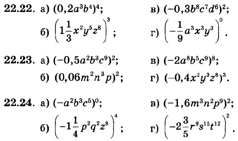
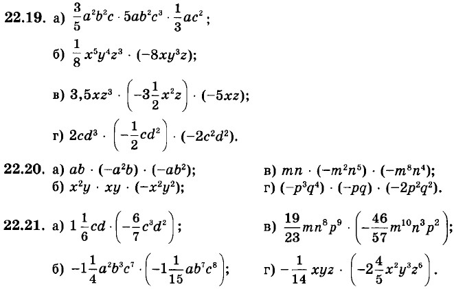
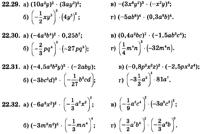
Упростите выражение:

22.25. Представьте заданный одночлен А в виде Вn, где В — некоторый одночлен, если:

а) А = 81а6d8с12, n = 2;
б) А = 256x4y12z24, n = 4;

в) А = 125х3у9z27, n = 3;
г) А = 144а6b10с18, n = 2.

22.26. Представьте заданный одночлен С в виде Dn, где D — некоторый одночлен, если:

    а) С = 216с9b12ƒ27, n = 3;
    б) С = 243x10y25z40, n = 5;
    в) С = 1024p20q100r1000, n = 10;
    г) С = 256a36b216c1296, n = 4.

22.27. Можно ли представить одночлен А в виде куба некоторого одночлена В, если:

а) А = 7а9;
б) А = 27b4;

в) А = 81b10с27;
г) А = -64x9y81?

22.28. Можно ли представить одночлен С в виде квадрата некоторого одночлена D, если:

    а) С = 25а10; б) С = -36d4; в) С = 8с8; г) С = 16b7?

Упростите выражение:

22.34. Вместо символов * запишите такие одночлены, чтобы получилось верное равенство:

а) (*)2 • (*)3 = 4а3b2с5;
б) (*)3 • (*)2 = -27р3х4у2;

в) (*)4 • (*)3 = 8c4d13n3;
г) (*)5 • (*)2 = 81b13n5t4.

<<< К началу      Решенния >>>

 

 

???????@Mail.ru