Главная >> Алгебра 7 класс. Задачник с ГДЗ. Мордкович

Глава 5. Одночлены. Арифметические операции над одночленами

§ 22. Умножение одночленов. Возведение одночлена в натуральную степень

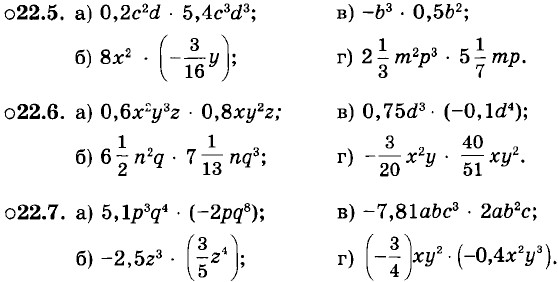
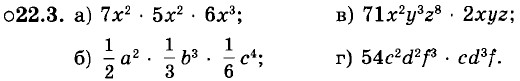
Найдите произведение данных одночленов:

22.1. а) 2х • 3у; б) 7а • 5b; в) 31с • 3d; г) 15z • 3t.

22.2.

а) 7а • 2b • 3с;
б) 10х2 • 2у2 • 3z3;

в) 10m • 5n • 2q;
г) 17р2 • 2q2 • 0,5s3.

22.4.

а) -5а2b • (-6ab2);
б) 41с2d • (-4cd);

в) -17х3у • (-2х2у2);
г) -13m2n2р3 • (-2mn2р).

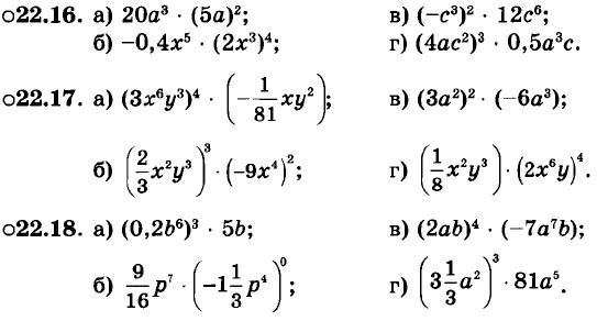
Возведите одночлен в указанную степень:

22.9.

a) (-6x3у3)0;
б) -(-5a3x2)3;

в) (-10х2у4)5;
г) -(-2ах3у2)4.

22.10. Представьте данный одночлен в виде произведения одночленов:

а) 56х2у3z8;
б) 102m2n3р4;

в) 0,21c9d14ƒ43;

22.11. Представьте одночлен -24х6у9 в виде произведения:

а) двух одночленов;
б) трёх одночленов;

в) четырёх одночленов;
г) пяти одночленов.

22.12. Замените символ * таким одночленом, чтобы выполнялось равенство:

а) * • 3b2 = 9b<sup>3;
б) 8а2b4 • * = -8а5b5;

в) -4а3b4 • * = 16а7b9;
г) -17а8b12 • * = -34а9b13.

22.13. Возведите одночлен:

    а) 6х3у6 в квадрат;
    б) -2аb3 в четвёртую степень;
    в) -m3n в пятую степень;
    г) -3а23 в куб.

22.14. Представьте данный одночлен в виде квадрата некоторого одночлена:

    а) 81а4; б) 36b6; в) 144с12; г) 169d4.

22.15. Представьте данный одночлен в виде куба некоторого одночлена:

    а) 0,008b6; б) 0,027b9; в) 0,001y24;

Упростите выражение:

Окончание >>>

 

 

???????@Mail.ru