Главная >> Домашние работы к учебнику Мордкович. Алгебра 7 класс

Глава 5. Одночлены. Арифметические операции над одночленами

Деление одночлена на одночлен

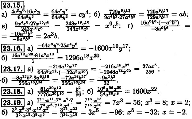
23.1. а) а; б) х5; в) у2; г) z4.

23.2. б) 0,22у; в) -1,4а; г) 1,56.

23.3. а) 2; б) 3; в) -7; г) 9.

23.4. а) 6х; б) 3; в) -15; г) 18p3.

23.5. а) 1; б) 3; в) -5; г) 3.

23.6. а) 26с; б) -6r; в) -3,5dm; г) 11yz.

23.7. а) 3а; б) -0,8ас; в) -90s; г) -5х.

23.8. а) 3а8; б) 4; в) 2а5у; г) 2b2x.

23.9. а) 4аbс; б) 99yz; в) 12m6n2k3; г) 86p2q2r2.

23.10. а) нет; б) да; в) нет; г) да.

23.11. а) нет; б) да; в) да; г) нет.

23.12. а) * = 30х5у6z7 : 5x3y2z6 = 6x2y4z; б) * = 5а3b4с10 • 15а5b7z21 = 75а8b11c31; в) * = р3m2q7 • p8m4q9 = p11m6q16; г) * = d2n3z10 : dn2z5 = dnz5.

23.13. a) 125a6b9 : 25а2b2 = 5а4b7; б) 1000х12у12 : 4x4y6 = 250x4у6; в) 49z10t14 : 1 = 49z10t14; г) x8y12z4 : xyz = x7y11z3.

23.14. a) 16m8n8 : 16m2n2 = m6n6; 6) 55p3q4 : 1 = 55p3q4; в) -х10у15z20 : x6y6z6 = -x4y9z14; г) -125a3c9d3 : 25c2d2 = -5a3c7d.

<<< К началу

 

 

???????@Mail.ru