Главная >> Алгебра 7 класс. Задачник с ГДЗ. Мордкович

Глава 5. Одночлены. Арифметические операции над одночленами

Домашняя контрольная работа № 5

Вариант 1

1. Приведите одночлен к стандартному виду.

2. Дан одночлен Запишите одночлен, который в сумме с данным даёт одночлен m3n2l4.

3. Представьте одночлен -4,5a4bc3 в виде суммы одночленов:

    а) с одинаковыми по знаку коэффициентами;
    б) с разными по знаку коэффициентами.

4. Решите уравнение

5. Упростите выражение

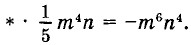
6. Замените символ * таким одночленом, чтобы выполнялось равенство

7. Представьте в виде квадрата или куба некоторого одночлена:

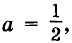
8. Найдите значение выражения если

9. Упростите выражение

Вариант 2

1. Приведите одночлен к стандартному виду.

2. Дан одночлен Запишите одночлен, который в сумме с данным даёт одночлен x2y3z2.

3. Представьте одночлен 5,3а5b2 с в виде суммы одночленов:

    а) с одинаковыми по знаку коэффициентами;
    б) с разными по знаку коэффициентами.

4. Решите уравнение

    2,05х6 - 3,07х6 + 1,036 = 0,01.

5. Упростите выражение

6. Замените символ * таким одночленом, чтобы выполнялось равенство

7. Представьте в виде квадрата или куба некоторого одночлена:

8. Найдите значение выражения если b = -2.

9. Упростите выражение

Решенния >>>

 

 

???????@Mail.ru