Главная >> Домашние работы к учебнику Мордкович. Алгебра 7 класс

Глава 6. Многочлены. Арифметические операции над многочленами

Сложение и вычитание многочленов

25.1. а) p(a) = 5a - 2; б) р(а) = 6 - 7а; в) р(а) = 7; г) р(а) = -11а + 3.

25.2. а) р(x) = 5x3 + 12; б) р(x) = 5x5 + 3x - 1; в) р(х) = 11x2 - 14; г) р(х) = 3x11 + 4x6 - 2.

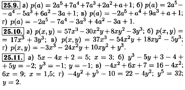
25.3. а) р(а, b) = 4а; б) р(а, b) = 26а3 - 10аb2 + 3b3; в) р(а, b) = 2а2 - 5аb - 2b2; г) р(а, b) = 27а4 - 17а3b + 9.

25.4. а) р(у) = 5у3 + 2у - 8; б) р(у) = 8у4; в) р(у) = 2у3 + 4у + 18; г) р(у) = у3 - 8у2.

25.5. a) p(c,d) - c2 + 4d; б) p(c,d) = 5с4 - 2с2 - d2; в) р(с, d) = 6с2d + 2cd2 — 2с + 4; г) р(с, d) = -4с2 + 8cd + 8d2.

25.6. а) 12x - 7 = -7 + 11x; х = 0; б) -6х - 8 = 20 - 4x; 2х = -28; х = -14; в) -1 - 2x + 10x + 6 = -8; 8х = -13; г) 5х + 7 + 5х + 5 = 12 - 7x; 17x = 0; х = 0.

25.7. у = 8,4; б) 0,5x = -1,8; х = -3,6; х = -67,2; г) -2x = -1,2; х = 0,6.

25.8. а) х - 0,5 • 2 = х - 1; б) x - 0,5 + x — 0,5 • 2 + х - 0,5 • 3 = 3х - 3; в) х + х - 0,5 = 2х - 0,5; г) х + х - 0,5 + х - 0,5 • 2 + х - 0,5 • 3 = 4х - 3.

25.12. а) 9х + 7 - 5х - 6 = 4х +1; б) а3 + 2а2b + b3 - а3 - 2а2b - b3 = 0; в) m2 - 2mn + n2 - m2 - 2mn - n2 = -4mn; г) 0 - 2с2d - 3cd2 + 8 = -2с2d2 - 3сd2 + 8.

25.13. а) 6а2 - 2 - 1,56а + а2 + 0,36а + 5,5а2 + 1,2а - 1 = 12,5а2 - 3; б) а2 + 2х2 - 5а2 + 1,2ах - 2,8х2 + 1,5а2 - 0,5ах + 1,8х2 = -2,5а2 + 0,7ах + х2; в) 12,5х2 + у2 - 8х2 + 5у2 - 10х2 + 5,5х2 - 6у2 = 0; г) у3 + 3z2 - у3 + 6az - 2у3 + 3z3 + 4az - 1,2у3 = -3,2у3 + 6z2 + 10az.

<<< К началу

 

 

???????@Mail.ru