Главная >> Алгебра 7 класс. Задачник с ГДЗ. Мордкович

Глава 6. Многочлены. Арифметические операции над многочленами

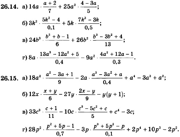
§ 26. Умножение многочлена на одночлен

Преобразуйте выражение в многочлен стандартного вида:

26.1.

a) 2x(x2 + 5x + 3);
6) -2xy(x2 + 2xy - y2);

в) 3у(у3 - 3у - 4);
г) -5mn(m3 + 3m2n - n3).

26.2.

a) x2y2(x + y);
6) -p5q8(p3 + 3pq - q4);

в) -c3d4(c2 - d3);
г) r7s12(r10 + 2rs - s5).

26.3.

a) 3x(x + y) - 3x2;
6) 7a(a - b) - 7a2;

в) 5c(c2 - d2) - 5c3;
r) 10m(m5 + n6) - 10m6.

26.4.

a) 3x(x - 5) - 5x(x + 3);
6) 2y(x - y) + y(3у - 2x);

в) 2a(a - b) + 2b(a + b);
г) 3p(8c + 1) - 8c(3p - 5).

26.5. Упростите выражение и найдите его значение:

    а) 5x(2x - 3) - 2,5x(4x - 2) при x = -0,01;
    б) 12(2 - р) + 29р - 9(р + 1) при
    в) 5a(a2 - 4a) - 4a(a2 - 5a) при a = -3;
    г) 3(3d - 1) + 7(2d + 1) при

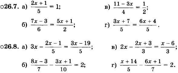
Решите уравнение:

26.6. а) 3(х - 1) - 2(3 - 7х) = 2(х - 2);
б) 10(1 - 2х) = 5(2х - 3) - 3(11х - 5);
в) 2(х + 3) - 3(2 - 7х) = 2(х - 2);
г) 5(3x - 2) = 3(х + 1) - 2(х + 2).

26.9. а) 6х(х + 2) - 0,5(12х2 - 7х) - 31 = 0;
б) 2х3 - х(х2 - 6) - 3(2х - 1) - 30 = 0;
в) 12х(х - 8) - 4х(3х - 5) = 10 - 26х;
г) 8(х2 - 5) - 5х(х + 2) + 10(х + 4) = 0.

Решите задачу, выделяя три этапа математического моделирования:

26.10. Из пункта А в пункт В со скоростью 12 км/ч выехал велосипедист, а через полчаса вслед за ним выехал другой велосипедист, проезжавший в час 14 км и прибывший в пункт В одновременно с первым велосипедистом. Найдите расстояние между А и В.

26.11. Лодка плыла 6 ч по течению реки, а затем 4 ч против течения. Найдите собственную скорость лодки, если известно, что скорость течения реки равна 3 км/ч, а всего лодкой пройдено расстояние 126 км.

26.12. От посёлка до станции велосипедист ехал со скоростью 10 км/ч, а возвращался со скоростью 15 км/ч, поэтому он затратил на обратный путь на 1 ч меньше. Найдите расстояние от посёлка до станции.

26.13. Катер плыл 4 ч по течению реки и 3 ч против течения, пройдя за это время расстояние 93 км. Найдите собственную скорость катера, если скорость течения реки равна 2 км/ч.

Выполните действия:

26.16. Пусть a = 3x2 + 4x - 8, b = 2x2 -7x+ 12, c = 5x2 + 3x - 27. По данному ниже условию составьте выражение и преобразуйте его в многочлен стандартного вида, записанный по степеням убывания переменной х:

    а) 2а + 3с - 4b;
    б) 7ах - 12xb + 15xс - 13;
    в) 72xа - 4b + 3хс + 4;
    г) 0,1x2а + 0,5xс - 0,6х3b - 17.

Окончание >>>

 

 

???????@Mail.ru