Главная >> Алгебра 7 класс. Задачник с ГДЗ. Мордкович

Глава 6. Многочлены. Арифметические операции над многочленами

§ 28. Формулы сокращённого умножения (окончание)

28.38. а) (а - с)(а + с) - (а - 2с)2;
б) (х - 4)(х + 4) - (х + 8)(х - 8);
в) (3b - 1)(3b + 1) - (b - 5)(b + 5);
г) (m + 3n)2 + (m + 3n)(m - 3n).

28.39. а) (b - 5)(b + 5)(b2 + 25);
в) (а - 2)(а + 2)(а2 + 4);
б) (3 - у)(3 + у)(9 + у2); г) (с2 - 1)(с2 + 1)(с4 + 1).

28.40. Докажите, что

(2а - b)(2а + b) + (b - с)(5 + с) + (с - 2а)(с + 2а) = 0.

Упростите выражение и найдите его значение:

28.41. а) (а + 3)2 - (а - 2)(а + 2) при а = -3,5;
б) (х - 3)2 - (х + 3)(х - 3) при х = -0,1;
в) (m + 3)2 - (m - 9)(m + 9) при m = -0,5;
г) (с + 2)2 - (с + 4)(с - 4) при

28.42. а) (5а - 10)2 - (3а - 8)2 + 132а при а = -6;
б) (3р - 8)2 + (4р + 6)2 + 100р при р = -2;
в) (5b - 3)2 + (12b - 4)2 - 4b при b = -1;
г) (13 - 5m)2 - (12 - 4m)2 + 4m при

28.43. Решите уравнение:

    а) 8x(1 + 2х) - (4х + 3)(4х - 3) = 2х;
    б) х- 3х(1 - 12х) = 11 - (5 - 6х)(6х + 5);
    в) (6х - 1)(6д: + 1) - 4х(9х + 2) = -1;
    г) (8 - 9х)х = -40 + (6 - 3x)(6 + 3х).

Решите уравнение:

28.44. а) (x - 6)2 - х(х + 8) = 2;
б) 9х(х + 6) - (3х + 1)2= 1;
в) х(х - 1) - (x - 5)2 = 2;
г) 16х(2 - х) + (4х - 5)2 = 1.

28.45. а) 9х2 - 1 - (3х - 2)2 = 0;
б) х + (5х + 2)2 = 25(1 + х2);
в) (2х - 3)2 - 2х(4 + 2х) = 11;
г) (4х - 3)(3 + 4х) - 2х(8х - 1) = 0.

28.46. а) (х - 1)(х + 1) = 2(х - 3)2 - х2;
б) (2х + 3)2 - 4(х - 1)(х + 1) = 49;
в) 3(х + 5)2 - 4х2 = (2 - х)(2 + х);
г) (3х + 1)2 - (3х - 2)(2 + 3х) = 17.

28.47. а) (х - 1)(х2 + х + 1) = 0;
б) (х + 2)(х2 - 2х + 4) = 7;
в) (х - 2)(х2 + 2х + 4) = 0;
г) (х + 1)(х2 - х + 1) = -7.

28.48. В прямоугольном параллелепипеде длина на 5 см больше ширины и на 5 см меньше высоты. Найдите измерения прямоугольного параллелепипеда, если площадь его поверхности равна 244 см2.

028.49. В прямоугольном параллелепипеде длина на 3 см больше ширины и на 3 см меньше высоты. Найдите измерения прямоугольного параллелепипеда, если площадь его поверхности равна 198 см2.

Преобразуйте выражение в многочлен стандартного вида:

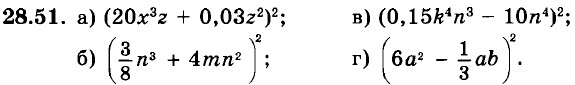
28.50.

а) (10х2 - 3ху3)2;
б) (8р3 + 5p2q)2;

в) (0,6b3 - 5b2с4)2;
г) (3z7 + 0,5z3t)2.

28.52. а) (хn - 23)(хn + 23);
б) (а2n + bn)(а2n - bn);
в) (сn - d3n)(cn + d3n);
г) (аn + 1 - bn - 1)(an + 1 + bn - 1).

28.53. а) (3х2 - 2)(9х4 + 6х2 + 4);
б) (5х2 + 3)(25х4 - 15х2 + 9);
в) (8b2 + 3)(64b4 - 24b2 + 9);
г) (7а2 - 1)(49а4 + 7а2 + 1).

28.54. а) (х - 2)2(х + 2)2;
б) (7 - 4)2(у + 4);
в) (m - 6)2(m + 6)2;
г) (n - 7)2(7 + n).

28.55. а) (х - у)(х + у)(х2 + у2);
б) (3а - b)(3а + б)(9а2 + b2);
в) (p3 + q)(p3 - q)(p6 + q2);
г) (s4 + r4)(s - r)(s + r)(s2 + r2).

28.56. a) (3х2 + 4)2 + (3х2 - 4)2 - 2(3x2 + 4)(3x2 - 4);
б) p(p - 2c)(p + 2c) - (p - c)(p2 + pc + c2);
в) (4a3 + 5)2 + (4a3 - 1)2 + 2(4a3 + 5)(4a3 - 1);
г) m(2m - 1)2 - 2(m + 1 )(m2 - m + 1).

28.57. a) (a - b)(a + b)(a2 + b2)(a4 + b4)(a8 + b8);
6) x32 - (x - 1)(x + 1)(x2 + 1)(x4 + 1)(x8 + 1)(x16 + 1).

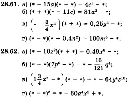
Замените символы * одночленами так, чтобы выполнялось равенство:

28.58. а) (6а5 + *)2 = * + * + 25х2;
б) (10m5 + *)2 = * + * + 36m4n6;
в) (* - 4х7)2 = 25х4у2 - * + *;
г)(8а3 - *)2 = * - * + 49а8b6.

28.59. а) (* + 4d4)2 = * + 24c2d5+ *;
б) (* - 8a4)2 = 81а6b2 - * + *;
в) (4р2q2 + *)2 = * + * + 0,01q8;
г) (8q4t3 - *)2 = * - * + 0,16t4.

28.60. а) (* + *)2 = * + 70b3с + 49с2;
б) (* - *)2 = 81х2 - * + 100х4у6;
в) (* + *)2 = * + 70х3у2 + *;
г) (* - *)2 = * - 48c5d3 + *.

28.63. Найдите значение выражения:

28.64. Найдите значение числового выражения:

    а) (2 - 1)(2 + 1)(22 + 1)(24 + 1)(28 + 1) - 216;
    б) 3(22 + 1)(24 + 1)(28 + 1)(216 + 1) - 232.

28.65. Докажите равенство:

    (32 + 22)(34 + 24)(38 + 28)(318 + 216) = 0,2(332 - 232).

<<< К началу      Решенния >>>

 

 

???????@Mail.ru