Главная >> Алгебра 7 класс. Задачник с ГДЗ. Мордкович

Глава 6. Многочлены. Арифметические операции над многочленами

§ 28. Формулы сокращённого умножения

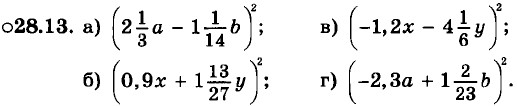
Преобразуйте квадрат двучлена в многочлен стандартного вида:

28.1. а) (а + х)2; б) (b - у)2; в) (с + d)2; г) (m - n)2.

28.2. а) (х + 1)2; б) (у - 2)2; в) (а - 5)2; г) (с + 8)2.

28.3. а) (7 - a)2; б) (9 + b)2; в) (4 + n)2; г) (12 - р)2.

28.4. а) (-x + 1)2; б) (-z - 3)2; в) (-n + 8)2; г) (-m - 10)2.

28.5. а) (2а + 1)2; б) (3с - 2)2; в) (6x - 3)2; г) (7у + 6)2.

28.6.

а) (8x + 3у)2;
б) (6m - 4n)2;

в) (9р - 2q)2;
г) (10z + 3t)2.

28.7.

а) (-3а + 5x)2;
б) (-6у - 2z)2;

в) (-3m + 4n)2;
г) (-12z - 3t)2.

28.9.

а) (x2 + 1)2;
б) (у2 - 6)2;

в) (q2 + 8)2;
г) (р2 - 10)2.

28.10.

а) (а2 + 3x2;
б) (b2 - 5у)2;

в) (r2 + 4s)2;
г) (m2 - 6n)2.

28.11.

а) (с2 + d2)2;
б) (m2 - n3)2;

в) (z2 + t3)2;
г) (р2 - q2)2.

28.12.

а) (а3 + 3b)2;
б) (4x2 - 3с)2;

в) (5m2 + 3n2)2;
г) (6р2 - 8g3)2.

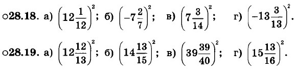
Используя формулы для (а ± b)2, вычислите:

28.14. а) 792; б) 392; в) 592; г) 692.

28.15. а) 212; б) 312; в) 612; г) 912.

28.16. а) 422; б) 622; в) 822; г) 322.

28.17. а) 982; б) 282; в) 882; г) 582.

Выполните действия, используя соответствующую формулу сокращённого умножения:

28.20.

а) (а - b)(а + b);
б) (с - d)(c + d);

в) (m - n)(m + n);
г) (р - q)(p + q).

28.21.

а) (х - 1)(х + 1);
б) (9 - а)(9 + а);

в) (с - 2)(с + 2);
г) (12 - t)(12 + t).

28.22.

а) (3b - 1)(3b + 1);
б) (6x - 2)(6х + 2);

в) (10m - 4)(10m + 4);
г) (8а - 1)(8а + 1).

28.23.

а) (4а - b)(b + 4а);
б) (х + 7)(7 - х);

в) (4b + 1)(1 - 4b);
г) (5m + 2)(2 - 5m).

28.24.

а) (3х - 5у)(3х + 5у);
б) (7а - 8b)(7а + 8b);

в) (13с - 11d)(13c + 11d);
г) (8m - 9n)(8m + 9n).

28.25. а) (5х - 2у2)(5х + 2у2);
б) (2с - 3а2)(3а2 + 2с);
в) (10р3 - 7q)(10p3 + 7q);
г) (8d + 6с3)(6с3 - 8d).

28.26. а) (4х2 - 2у2)(4х2 + 2у2);
б) (10а3 + 5b2)(10а3 - 5b2);
в) (3n4 - m4)(3n4 + m4);
г) (10m8 + 8n8)(10m8 - 8n8).

Используя формулу (а + b)(а - b) = а2 - b2, вычислите:

28.27. а) 69 • 71; б) 31 • 29; в) 89 • 91; г) 99 • 101.

28.28. а) 58 • 62; б) 82 • 78; в) 42 • 38; г) 18 • 22.

28.29. а) 0,49 • 0,51; б) 0,78 • 0,82; в) 0,67 • 0,73; г) 1,21 • 1,19.

Выполните действия, используя соответствующую формулу сокращённого умножения:

28.31. а) (х - 1)(х2 + х + 1);
б) (х + 3)(х2 - 3х + 9);
в) (х - 2)(х2 + 2х + 4);
г) (х + 4)(х2 - 4х + 16).

28.32. а) (5m + 3n)(25m2 - 15mn + 9n2);
б) (2а - 3х)(4а2 + 6ах + 9х2);
в) (3х + 4у)(9х2 - 12ху + 16у2);
г) (4х - 5у)(16х2 + 20ху + 25у2).

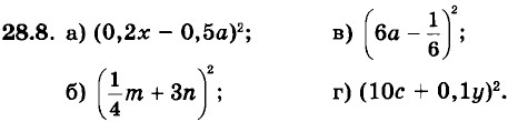
Преобразуйте выражение в многочлен стандартного вида:

28.33.

а) 3(х - у)2;
б) -с(3а + с)2;

в) -6(5m - n)2;
г) d(1 + 25)2.

28.34.

а) а2 + (3а - b)2;
б) 9р2 - (q - 3р)2;

в) (5с + 7d)2 - 70cd;
г) (8m - n)2 - 64m2.

28.35.

а) (а - 4)2 + а(а + 8);
б) (х - 7)х + (х + 3)2;

в) (у - 5)2 - (у - 2);
г) b(b + 4) - (b + 2)2.

28.36. а) (3а - 6)(3а + b) + b2;
б) 9х2 - (у + 4х)(у - 4х);
в) (5с - 6d)(5c + 6d) - 25с2;
г) (7m - 10n)(7m + 10n) - 100n2.

28.37. а) 2(а - 2)(а + 2);
в) 5с(с + 3)(с - 3);
б)x(x + 4)(x - 4);
г) 7d2(d - 1)(d + 1).

Окончание >>>

 

 

???????@Mail.ru