Главная >> Домашние работы к учебнику Мордкович. Алгебра 7 класс

Глава 7. Разложение многочленов на множители

Что такое разложение многочленов на множители и зачем оно нужно

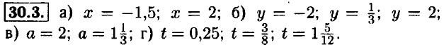
30.1. а) x = 0; x = 2; б) x = -1; x = -4; в) z = 0; 2 = 1,6; г) у = -2; у = 6.

30.2. a) m = 0; m = -1; m = -2; б) n = 0; n = 3; n = 8; в) р = 0; р = -13; р = 17; г) у = 0; q = 21; q = 105.

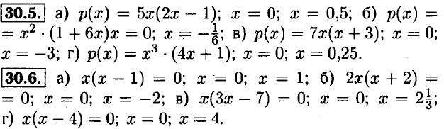
30.4. a) p(x) - x(2x + 1); 6) p(x) - 3x(2x2 - x + 1); в) p(x) = 3x(x2 - 4); г) p(x) = 5x2 • (x2 + x - 2).

30.7. a) p(x) - (x - 2)(x + 2); 6) p(x) = (3 - 2x)(3 + 2x); в) p(x) = (x + 3)(x - 3); г) p(x) = (2 - 3x)(2 + 3x).

30.9. а) (x - 4)(x + 4) = 0; x = 4; x = -4; б) (у - 5)(у + 5) = 0; у = 5; у = -5; в) (z - 6)(z + 6) = 0; z = -6; z = 6; г) (t - 10) + 10) = 0; t = 10; t = -10.

30.10. a) 1,8 • (0,4 + 0,6) = 1,8 • 1 = 1,8; б) 1,5 • (1,5 - 11,5) = 1,5 -10 = -15; в) 3,6 • (1,3 - 0,3) = 3,6 • 1 = 3,6; г) 1,3 • (8,7 + 1,3) = 1,3 • 10 = 13.

<<< К началу   Решенния (окончание) >>>

 

 

???????@Mail.ru