Главная >> ГДЗ к учебнику Мордкович. Алгебра 7 класс

Глава 7. Разложение многочленов на множители

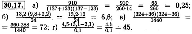
Что такое разложение многочленов на множители и зачем оно нужно (окончание)

30.14. а) х = 1; х = -2; б) х = ±1; х = 3; в) х = 4; х = 3; г) х = ±2; х = -1.

30.15. а) х = 0; х = 2; б) х = 6; х = 2; в) х = 0; х = -4; г) х = 5; х = -1.

30.16. а) a2 - 36 = 0; a2 = 36; a = ±6; б) b2 - 100 = 0; b2 = 100; b = ±10; в) х2 - 0,36 = 0; х2 = 0,36; х = ±0,6; г) у2 - 100 = 0; у2 = 100; у = ±10.

<<< К началу

 

 

???????@Mail.ru