Главная >> Алгебра 7 класс. Задачник с ГДЗ. Мордкович

Глава 7. Разложение многочленов на множители

§ 31. Вынесение общего множителя за скобки

31.1. Запишите три одночлена, на которые делится каждый из заданных одночленов:

а) 2m2, 2m, 4;
б) 4х, 16х, 8ху;

в) 15аb2, 25аb, 30а26;
г) 56xyz, 42x2z, 14y2z.

Разложите многочлен на множители:

31.2.

а) 3х + 3у,
б) 5а - 5b;

в) 7а + 7у,
г) 8х - 8а.

31.3.

а) 3х + 6у;
б) 5а - 15b;

в) 7а + 14у,
г) 8х - 32а.

31.4.

а) 8х + 12у;
б) 15а - 25b;

в) 21 а + 28у;
г) 24х - 32а.

31.5.

а) 2,4х + 7,2 у,
б) 1,8а - 2,4b;

в) 0,01а + 0,03y;
г) 1,25х - 1,75а.

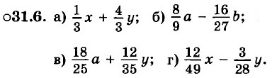
31.8.

а) 3b2 - 3b;
б) а4 + 2а2;

в) 4с2 - 12с5;
г) 8d4 - 32d2.

31.9.

а) х3 - 3х2 - х;
б) 2m6 - 4m3 + 6m;

в) у5 - 2у4 + у2;
г) 9р4 - 18р2 - 27р.

31.10.

а) аb - а2b;
б) -p2q2 - рq,

в) х2у - ху2;
г) m3n2 - n3m2.

Разложите многочлен на множители:

31.11. а) 2z5q2 - 4z3q + 6z2q3;
б) xy3 + 5x2y2 - 3x2y;
в) 7a4b3 - 14a3b4 + 21 a2b5;
г) 8x3y3 + 88x2y3 - 16x3y4.

31.12. а) 15x3y2 + 10х2у - 20х2у3;
б) 12а2b4 - 36а2b + 44abc;
в) 195с6p5 - 91с5p6 + 221с3p10;
г) 42а4b - 48а3b2 - 78а2b3.

31.13. а) 3х(а + b) + y(a + b);
б) m(х - у) - (х - у);
в) 5p(r - s) + 6q(r - s);
г) (с + 2) - d(c + 2).

31.14. а) 15с(а + b) + 8(b + а);
б) 4а(х + y) - 9b(y + x);
в) n(2а + 1) + m(1 + 2а);
г) 11р(с + 8d) - 9(8d + с).

Окончание >>>

 

 

???????@Mail.ru