Главная >> Алгебра 7 класс. Задачник с ГДЗ. Мордкович

Глава 7. Разложение многочленов на множители

§ 33. Разложение многочленов на множители с помощью формул сокращённого умножения (окончание)

Разложите многочлен на множители:

33.29.

а) (x + 1)2 - 25;
б) (y - 2)2 - 4;

в) (2 + 10)2 - 36;
г) (t - 7)2 - 100.

33.30.

а) 49 - (m - 3)2;
б) 400 - (а + 9)2;

в) 625 - (n + 12)2;
г) 121 - (b - 13)2.

33.31.

а) (y + 2)2 -4у2;
б) 100а2 - (5а + 9)2;

в) (t - 7)2 - 9t2;
г) 121b2 - (7b - 3)2.

33.32.

а) (а + 4)2 - (5 + 2)2;
б) (x - 5)2 - (у + 8)2;

в) (m + 10)2 - (n - 12)2;
г) (с - 1)2 - (d - 23)2.

33.33.

а) (3x + 1)2 - (4x + 3)2;
б) (6у - 7)2 - (9у + 4)2;

в) (15z + 4)2 - (3z - 2)2;
г) (13t - 9)2 - (8t - 7)2.

33.35.

а) (2x - 5)2 - 36 = 0;
б)(5z - 3)2 - 9z2 = 0;

в) (4 - 11y)2 - 1 = 0;
г) (4t - 3)2 - 25t2 = 0.

33.36. а) (а + 1)2 - (2а + 3)2 = 0;
б) (5с + 8)2 - (с - 10)2 = 0;
в) (3b - 2)2 - (b + 1)2 = 0;
г) (7d - 13)2 - (9d - 25)2 = 0.

Постройте график уравнения:

33.37.

а) х2 - у2 = 0;
б) х2 = 4у2;

в) у2 = 9х2;
г) 16x2 - 25у2 = 0.

33.38.

а) (х + 1)2 - у2 = 0;
б) (х - 3)2 - (у + 2)2 = 0;

в) х2 - (у - 2)2 = 0;
г) (х + 4)2 - (у - 1)2 = 0.

Разложите многочлен на множители:

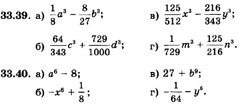
33.41.

а) х3у3 - с3;
б) m6n3 + р12;

в) а3 + m3n9;
г) q3 - c15d18.

33.43.

а) (2с + 1)3 - 64;
б) р3 + (3р - 4)3;

в) 8 - (3 - k)3;
г) (5а + 4)3 - а3.

33.44.

а) (6b + 8)3 - 125b3;
б) 1000р3 + (3q - 2p)3;

в) 8x3 - (5x - 3)3;
г) (3x + 2у)3 + 729у3.

33.46. Докажите, что:

    а) 513 - 263 делится на 25;
    б) 433 + 173 делится на 60;
    в) 543 - 143 делится на 40;
    г) 383 + 373 делится на 75.

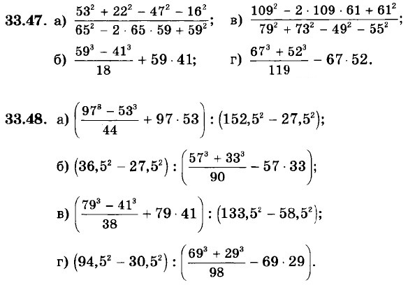
Вычислите наиболее рациональным способом:

Замените символы * такими одночленами, чтобы вьп нялось равенство:

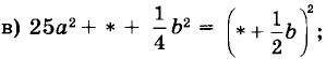
33.49. а)а2 + * + b2 = (а + b)2;
б) b2 + 20b + * = (b + 10)2;
в) * - 56а + 49 = (4а - 7)2;
г) * - 12с + * = (3с - 2)2.

33.50. а) b2 - 20b + * = (* - 10)2;
б) * - 42pq + 49q2 = (3р - *)2;

г) 0,01b2+ * + 100с2 = (0,1b + *)2.

33.51. а) * + 56аb + 49b2 = (4а + *)2;
б) 225х2 - * + 64у2 = (15x - *)2;
в) * + 96ху + 36у2 = (8x + *)2;
г) 100а2 + * + 49b2 = (10а + *)2.

33.52. а) m2 + 40m + * = (* + 20)2;
б) * - 70pq + * = (7р - *)2;
в) * + 42ас + 49с2 = (* + *)2;
г) 25z2 - * + * = (* - 8t)2.

33.53. Постройте график уравнения:

    а) (х + 2у)2 - (2х - у)2 = 0;
    б) (2х - у + 3)2 - (х - 2 у - 3)2 = 0;
    в) (3х + 2у)2 - (2х + 3у)2 = 0;
    г) (3х + 2у - 6)2 - (х + у - 1)2 = 0.

<<< К началу      Решенния >>>

 

 

???????@Mail.ru