Главная >> Домашние работы к учебнику Мордкович. Алгебра 7 класс

Глава 7. Разложение многочленов на множители

Разложение многочленов на множители с помощью формул сокращённого умножения

33.2. а) (х - 14)(х + 14); б) (13 - m)(13 + m); в) (у - 12)(у + 12); г) (15 - n)(15 + n).

33.3 а) (2 - 6а)(2 + ба); б) (7b - 10)(7b + 10); в) (20 - 11с)(20 + 11с); г) (12d - 15)(12d + 15).

33.4. а) (а - 3b)(а + 3b); б) (4d - c)(4de + с); в) (m - 8n)(m + 8n); г) (10q - р)(10q + р).

33.5. а) (7х - 11а)(7x + 11а); б) (8р - 9q)(8p + 9q); в) (3m - 4n)(3m + 4n); г) (12у - 5r)(12у + 5r).

33.6. a) (ху - 1 )(ху + 1); б) (5 - 6рс)(5 + 6рс); в) (2 - cd)(2 + cd); г) (7ху - 20)(7ху + 20).

33.7. а) (cd - m)(cd + m); б) (ах - 0,5у)(ах + 0,5у); в) (4yz - 3an)(4yz + 3аn); г) (ху - 0,5pq)(xy + 0,5pq).

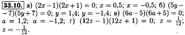
33.9. a) (х -7)(х + 7) = 0; х = 7; х = -7; б) (у - 10)(у + 10) = 0; у = 10; у = -10; в) (z - 25)(z + 25) = 0; z = 25; z = -25; г) (t - l)(t + 1) = 0; t = 1; t = -1.

33.11. а) а + b; а2 - аb + b2; б) m2 + 2n2; m4 - 2m2n2 + 4n4; в) 2с + 3d; 4c2 - 6cd + 9d2; г) 3р + 4q2; 9р2 - 12pq2 + 16q4.

33.12. a) k - l; k2 + kl + l2; б) 5а2 - b2; 25а4 + 5а2b2 + b4; в) 3р - 2m; 9р2 - брm + 4m2; г) 4s - 3t2; 16s2 - 12st2 + 9t4.

33.14. а) (а + 2)(а2 - 2а + 4); б) (b - 3)(b2 + 3b + 9); в) (с - 4)(с2 + 4с + 16); г) (d + 5)(d2 - 5d + 25).

33.16. a) (6 - m)(36 + 6m + m2); б) (10 + m)(100 - 10m + m2); в) (9 + р)(81 - 9р + р2); г) (7 - q)(49 + 7q + q2).

33.16. а) (4а + 1)(16а2 - 4а + 1); б) (3d - 2)(9d2 + 6d + 4); в) (8b - 5)(64b2 + 40b + 25); г) (6с + 10)(36с2 - 60с + 100).

33.17. а) (ab - 1)(а2b2 + аb + 1); б) (2 + cd)(4 - 2cd + c2d2); в) (mn - 3)(m2n2 + 3mn + 9); г) (pq + 4)(p2q2 - 4pq + 16).

33.18. а) (2а + b)(4а2 - 2аb + b2); б) (4а - 5с)(16а2 + 20ас + 25с2); в) (6х - у)(36х2 + 6ху + у2); г) (3x + 7t)(9x2 - 21xt + 49t2).

33.19. а) (а - b)2; б) (x + у)2; в) (z +1)2; г) (m - n)2.

33.20. a) (m + 2)2; 6) (a - b)2; в) (1 - b)2; г) (9 + y)2.

33.21. a) (2y - 3)2; б) (3р + 8)2; в) (3m + 4)2; г) (3а - 5)2.

33.22. a) (p + 5q)2; б) (15x - y)2; в) (x - 7y)2; г) (8t - z)2.

33.23. a) (3х + 4y)2; б) (1,5а - 3b)2; в) (2m - 7n)2; г) (0,5x + 3y)2.

33.24. а) (а - 5)2 ≥ 0; 6) -(a + 2)2 ≤ 0; в) (7 + a)2 ≥ 0; г) -(a - b)2 ≤ 0.

33.26. a) (34 + 36)2 = 702 = 4900; 6) (27 - 13)2 = 142 = 196; в) (98 - 8)2 = 902 = 8100; г) (76,4 +13,6)2 = 902 = 8100.

33.26. a) (257 - 143) (257 + 143) = 114 • 400 = 45600; б) (73,6 + 26,4)(73,6 - 26,4) = 100 • 47,2 = 4720; в) (165 - 65)(165 + 65) = 100 • 230 = 23000; г) (72,5 + 47,5)(72,5 - 47,5) = 120 • 25 = 3000.

33.29. а) (х + 1 + 5)(х + 1 - 5) = (х + 6)(х - 4); б) (у - 2 - 2)(у - 2 + 2) = (у - 4)у; в) (z + 10 - 6)(z + 10 + 6) = (z + 4)(z + 16); г) (t - 7 - 10)t - 7 + 10) = (t - 17)(t + 3).

33.30. а) (7 - m + 3)(7 + m - 3) = (10 - m)(4 + m); б) (20 - а - 9)(20 + а + 9) = (11 - а)(29 + а); в) (25 - n - 12)(25 + n + 12) = (13 - n)(37 + n); г) (11 - b + 13)(11 + 6 - 13) = (24 - b)(b - 2).

33.31. а) (у + 2 + 2у)(у + 2 - 2у) - (3у + 2)(2 - у); б) (10а - 5а - 9)(10а + 5а + 9) = (5а - 9)(15а + 9); в) (t - 7 - 3t)(t -7 + 3t) = (-7 - 2t)(4t - 7); г) (11b + 7b - 3)(11b + 7b + 3) = (4b + 3)(18b - 3).

33.32. а) (а + 4 - b - 2)(а + 4 + b + 2) = (а - b + 2)(а + b + 6); б) (х - 5 - у - 8)(х -5 + у + 8) = (х - у - 13)(х + у + 3); в) (m + 10 - n + 12)(m + 10 + n - 12) = (m - n + 22)(m + n - 2); г) (c - 1 - d + 23)(c - 1 + d - 23) = (c - d + 22)(c - d - 24).

33.33. a) (3x + 1 + 4x + 3)(3x + 1 - 4x - 3) = (7х + 4)(-х - 2); б) (6у - 7 - 9у - 4)(6у -7 + 9у + 4) = (-3у - 11)(15у - 3); в) (15z + 4 - 3z + 2)(15z + 4 + 3z - 2) = (12z + 6)(18z + 2); г) (13t - 9 - 8t + 7)(13t - 9 + 8t - 7) = (5t - 2)(21t - 16).

<<< К началу   Решенния (окончание) >>>

 

 

???????@Mail.ru