Главная >> ГДЗ к учебнику Мордкович. Алгебра 7 класс

Глава 7. Разложение многочленов на множители

Разложение многочленов на множители с помощью комбинации различных приёмов (окончание)

34.21. а) (x - 5)2 - 1 = (x - 5 - 1)(x - 5 + 1) = (x - 6)(x - 4); б) (у2 - 7)2 - 9 = (у2 - 7 - 3)(у2 - 7 + 3) = (у2 - 10)(у2 - 4) = (у2 - 10)(у - 2)(у + 2); в) (b2 + 2)2 - 9 = (b2 + 2 - 3)(b2 + 2 + 3) = (b2 - 1)(b2 + 5) = (b - 1)(b + 1)(62 + 5); г) (2а - 3b)2 - 4b2 = (2а - 3b - 2b)(2а - 3b - 2b) = (2а - b)(2а - 5b).

32.22. a) (2a - 3b)2 - 4b2 = (2a - 32 - 22)(2a - 32 - 22) = (2a - b) (2a - 5b); 6) (3c - 4d)2 - 9d2 = (3c - 4d - 3d) (3c - 4d - 3d) = (3c - 7d)(3c - d); в) (5a + 2b)2 - 16b2 = (5a + 2b - 4b)(5a + 2b + 4b) = (5a - 2b)(5a + 6b); г) (3m - 5k)2 - 9k2 = (3m -5k- 3k)(3m - 5k + Zk) = (3m - 8k)(3m - 2k).

34.23. a) а2 + 2а + 5a + 10 - a(a + 2) + 5 • (a + 2) - (a + 5)(a + 2); б) х4 + 3x2 + 4х2 + 12 = х2 • (х2 + 3) + 4 • (х2 + 3) = (х2 + 3)(х2 + 4); в) b2 + b - 4b - 4 = b(b + 1) - 4 • (6 + 1) = (b - 4)(b + 1); г) у4 - у2 - 4у2 + 4 = у2 • (у2 - 1) - 4 • (у2 - 1) = (у2 - 1)(y2 - 4) = (у - 1)(y + 1 )(у - 2)(у + 2).

34.24. a) x2 + 2xy + 3xy + 6y2 = x(x + 2y) + 3y(x + 2y) = (x + 3y)(x + 2y); 6) 4m2 - 4mn - mn + n2 = = 4m(m - n) - n(m - n) = (4m - n)(m - n); в) p2 + pq - 2pq - 2q2 = p(p + q) - 2q(p + q) = (p - 2q)(p + q); г) a2 + ab + 6ab + 6b2 = a(a + b) + 6b(a + b) = (a + 6b)(a + b).

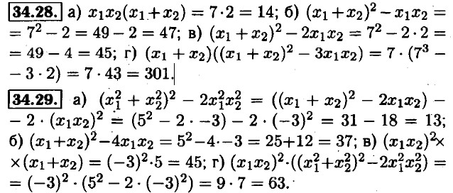
34.25. а) х(х2 - 1) = 0; х(х - 1)(х +1) = 0; х = 0; х = 1; х = -1; б) у(16 - у2) = 0; у(4 - у)(4 + у) = 0; у = 0; у = 4; у = -4; в) с2 • (с + 1) = 0; с = 0; с = -1; г) d(d2 + 1) = 0.

34.26. а) х2 • (х + 1) - 4 • (х + 1) = 0; (х2 - 4)(х + 1) = 0; (х - 2)(х + 2)(х + 1) = 0; х = 2; х = -2; х = -1 б) у2 • (у + 2) - 4 • (у + 2) = 0; (у2 - 4)(у + 2) = 0; (у-2)(у + 2)2 = 0; у = 2; у = -2 в) 9 • (z + 1) - z2 • (z + 1) = 0; (9 - z2)(z + 1) = 0; (3 - z)(3 + z)(z +1) =0; 2 = 3; z = -3; z = -1 г) р2 • (р - 1) - 4 • (р - 1) = 0; (р2 - 4)(р - 1) = 0; (р - 2)(р + 2)(р - 1) = 0; р = 2; р = -2; р = 1.

<<< К началу

 

 

???????@Mail.ru