Главная >> Алгебра 7 класс. Задачник с ГДЗ. Мордкович

Глава 7. Разложение многочленов на множители

§ 35. Сокращение алгебраических дробей

35.1. Найдите общий делитель для данных одночленов:

а) 3а2b3, 12а3b2;
б) 15b12с2, 25b3с4;

в) 6х2у, 9у5;
г) р5q2, 12р2q5.

Сократите дробь:

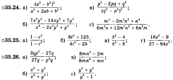
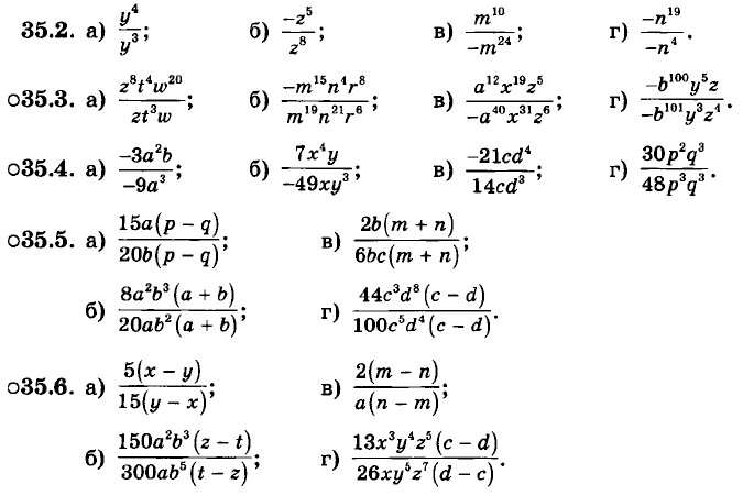
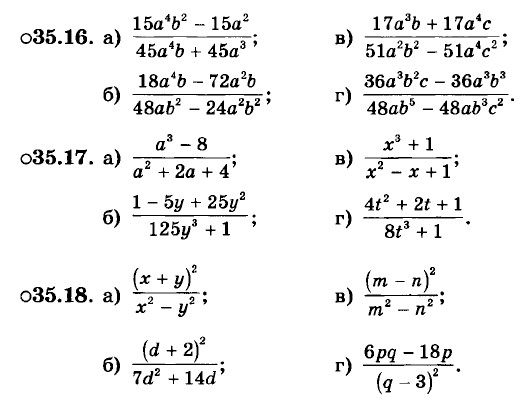
Сократите дробь:

Сократите дробь:

Окончание >>>

 

 

???????@Mail.ru