Главная >> Алгебра 7 класс. Задачник с ГДЗ. Мордкович

Глава 7. Разложение многочленов на множители

§ 35. Сокращение алгебраических дробей (окончание)

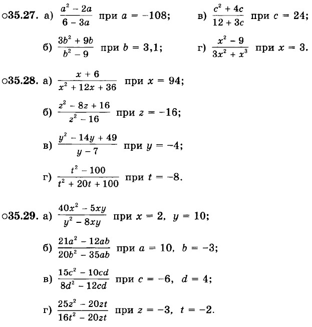
Найдите значение алгебраической дроби, предварительно сократив её:

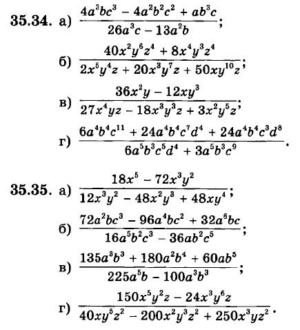
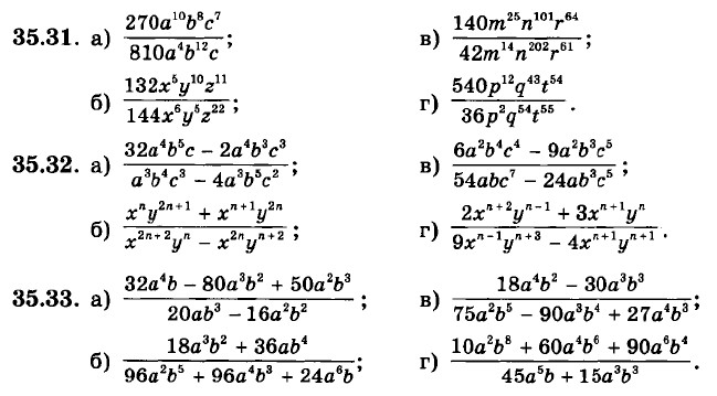
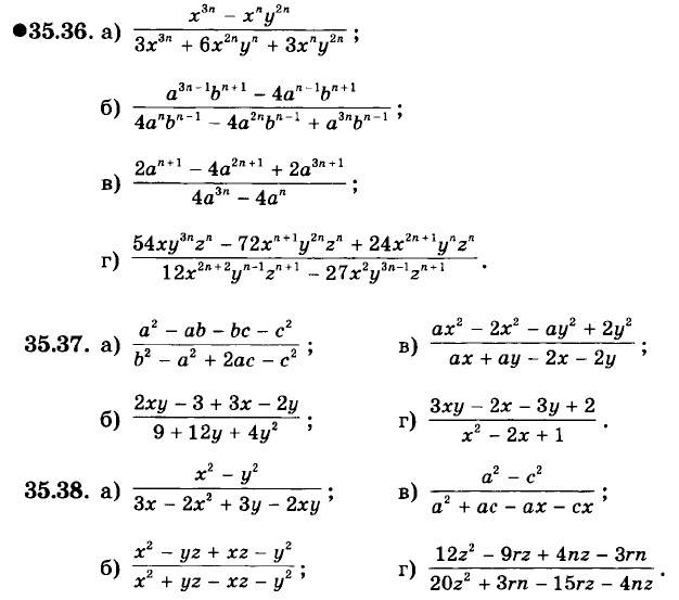
Сократите дробь:

Сократите дробь:

<<< К началу      Решенния >>>

 

 

???????@Mail.ru