Главная >> Домашние работы к учебнику Мордкович. Алгебра 7 класс

Глава 7. Разложение многочленов на множители

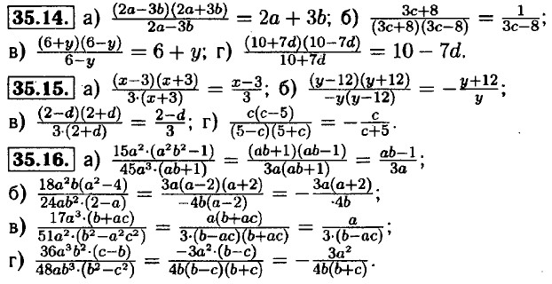
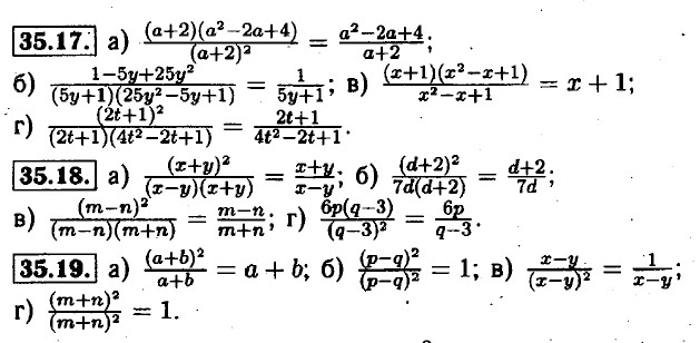
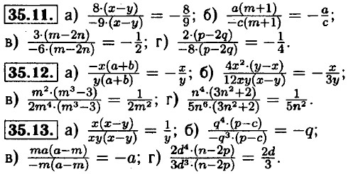
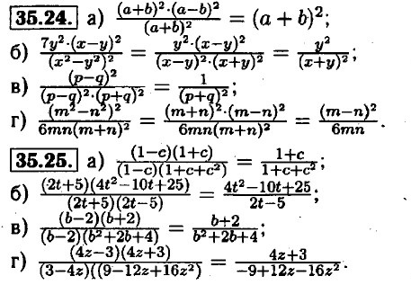
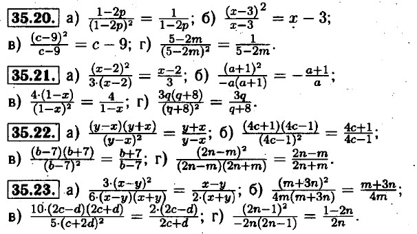
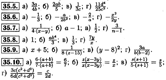
Сокращение алгебраических дробей

35.1. а) 3а2b2; б) 6b3с2; в) 3у; г) р2q2.

<<< К началу   Решенния (окончание) >>>

 

 

???????@Mail.ru