Главная >> Домашние работы к учебнику Мордкович. Алгебра 7 класс

Глава 7. Разложение многочленов на множители

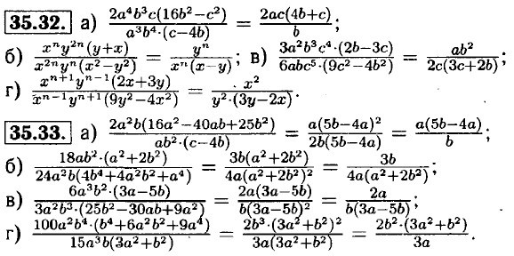
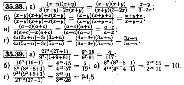
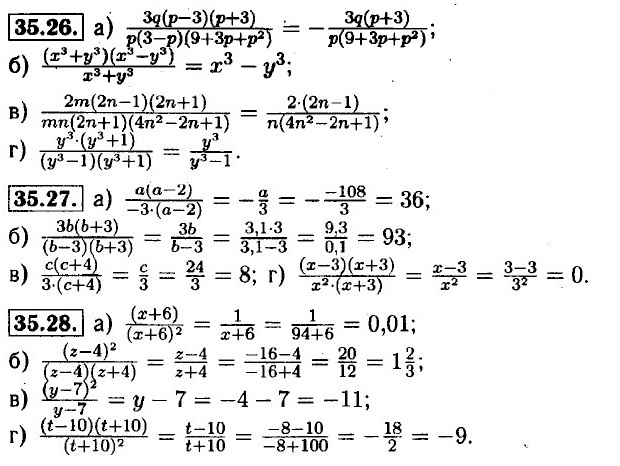
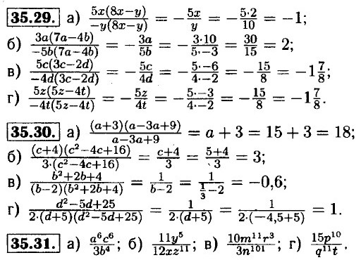
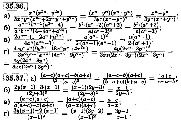
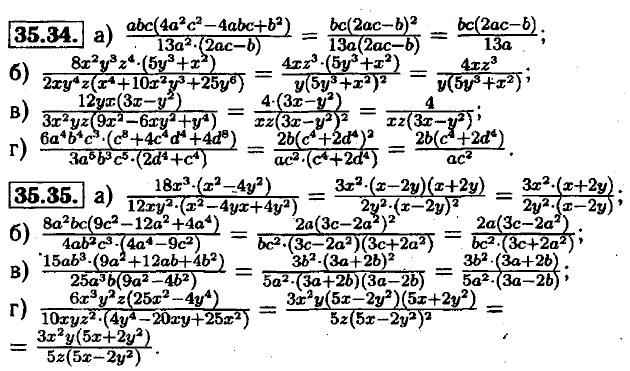
Сокращение алгебраических дробей (окончание)

<<< К началу

 

 

???????@Mail.ru