Главная >> Алгебра 7 класс. Задачник с ГДЗ. Мордкович

Глава 8. Функция у = х2

§ 37. Функция у = х2 и её график (окончание)

Найдите наибольшее и наименьшее значения функци у = х2 на заданном отрезке:

37.18. а) [1; 2]; б) [-2; -1]; в) [0; 1]; г) [-3; 0].

37.19. а) [-1; 1]; б) [-2; 3]; в) [-3; 2]; г) [-1; 3].

37.20. Не выполняя построения графика, найдите наименьшее значение функции у = х2 на заданном отрезке:

Найдите наибольшее и наименьшее значения функции у = -х2 на заданном отрезке:

37.21. а) [-1; 0]; б) [0; 2]; в) [-2; 0]; г) [2; 3].

37.22. а) [-2; 2]; б) [-2; 1]; в) [-3; 2]; г) [-1; 3].

37.23. Не выполняя построения графика, найдите наибольшее значение функции у = -х2 на заданном отрезке:

37.24. Найдите наименьшее значение функции у = х2 на заданном луче:

    а) [-3; +∞); б) (-∞; -2]; в) (-∞; 1]; г) [1; +∞).

37.25. Найдите наибольшее значение функции у = -х2 на заданном луче:

    а) (-∞; 0]; б) (-∞; 3]; в) [2; +∞); Г) (-∞; -3].

37.26. Постройте график функции у = х2. С помощью графика найдите:

а) значения функции при значении аргумента, равном -4; 0; 2;
б) значения аргумента, если значение функции равно 1; 0; 9;
в) наибольшее и наименьшее значения функции на отрезке [-1; 2];
г) значения аргумента, при которых 1 < у < 9.

37.27. Постройте график функции у = -х2. С помощью графика найдите:

а) значения функции при значении аргумента, равном -3; 0; 1;
б) значения аргумента, если значение функции равно -16; -4; 0;
в) наибольшее и наименьшее значения функции на отрезке [-3; 2];
г) значения аргумента, при которых -4 ≤ у ≤ -1.

Найдите точки пересечения параболы и прямой:

37.28.

а) у = х2 и у = 1;
б) у = -х2 и у = -9;

в) у = х2 и у = 4;
г) у = -х2 и у = 0.

37.29.

а) у = х2 и у = 2х;
б) у = -х2 и у = -3х;

в) у = х2 и у = х;
г) у = -х2 и у = х.

37.30.

а) у = х2 и у = х + 2;
б) у = -х2 и у = -х - 6;

в) у = х2 и у = -х + 6;
г) у = -х2 и у = х - 2.

37.31.

а) у = х2 и у = -2х + 3;
б) у = -х2 и у = х + 5;

в) у = -х2 и у = 2х - 3;
в) у = -х2 и у = 2х - 3;

Постройте график функции у = х2 на заданном промежутке:

37.32. а) (1; 3); б) [-2; 2]; в) (0; 2); г) [-2; -1].

37.33. а) (-∞; 1]; б) [2; +∞); в) (-1; +∞); г) (-∞; 0).

37.34. а) [0; 1); б) (-1; 3]; в) (0; 3]; г) [1; 2).

Постройте график функции у = -х2 на заданном промежутке:

37.35. а) [-3; 0]; б) [0; +∞); в) (1; 3); г) (-∞; -1).

37.36. а) (-2; 1); б) (-2; 3]; в) [-1; +∞); г) [-3; 1].

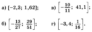
Найдите наибольшее и наименьшее значения функции у = х2 на заданном промежутке:

37.37. а) [-2; 0,5]; б) [-1,5; 0]; в) [-2,5; 1,5]; г) [-3; 2,3].

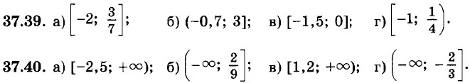
Найдите наибольшее и наименьшее значения функции у = -х2 на заданном промежутке:

37.41. Пусть А — наименьшее значение функции у = х2 на отрезке [-2; 1], а В — наибольшее значение той же функции на отрезке [-3; -1]. Что больше: А или В? Сделайте графическую иллюстрацию.

37.42. Пусть С — наибольшее значение функции у = х2 на отрезке [1; 2], a D — наименьшее значение функции у = 2х + 3 на отрезке [-1; 1]. Что больше: С или D? Сделайте графическую иллюстрацию.

37.43. Пусть М — наибольшее значение функции у = -х2 на отрезке [-1; 3], а N — наименьшее значение функции у = х на том же отрезке. Что больше: М или N? Сделайте графическую иллюстрацию.

37.44. Пусть L — наименьшее значение функции у = х2 на отрезке [-2; -1], а N — наименьшее значение той же функции на отрезке [1; 2]. Что больше: L или N? Сделайте графическую иллюстрацию.

37.45. Пусть Р — наименьшее значение функции у = х2 на луче (-∞; 3], a Q — наименьшее значение той же функции на луче (-∞; 2]. Что больше: Р или Q? Сделайте графическую иллюстрацию.

37.46. Пусть А — наибольшее значение функции у = х2 на полуинтервале (-1; 2], а В — наименьшее значение функции у = х + 2 на луче [3; +∞). Что больше: А или В? Сделайте графическую иллюстрацию.

37.47. Пусть А — наибольшее значение функции у = х2 на полуинтервале [-3; 2), а B — наименьшее значение функции у = 3x на луче [-1; +∞). Что больше: А или В?

37.48. Пусть R — наименьшее значение функции у = х2 на отрезке [-4; 4], a S — наибольшее значение функции у = -х2 на отрезке [-17; 10]. Не выполняя построения, сравните R и S.

37.49. Найдите точки пересечения параболы и прямой:

а) у = х2 и у = -2х - 1;
б) у = -х2 и y = 2х + 1;

в) у = х2 и у = 4х - 4;
г) у = -х2 и у = -4х + 4.

37.50. С помощью графика функции у = х2 определите, при каких значениях х выполняется неравенство:

    а) х2 < 1; б) х2 ≥ 1; в) х2 ≤ 9; г) х2 > 9.

37.51. С помощью графика функции у = -х2 определите, при каких значениях х выполняется неравенство:

    а) -х2 ≤ -4; б) -х2 > -9; в) -х2 ≥ -4; г) -х2 < -9.

37.52. С помощью графика функции у = х2 определите, при каких значениях х выполняется неравенство:

    а) 1 < х2 < 4; б) 4 ≤ х2 ≤ 9.

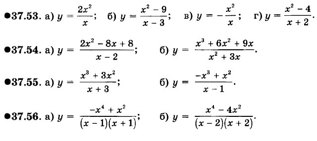
Постройте график функции:

<<< К началу      Решенния >>>

 

 

???????@Mail.ru