Главная >> Домашние работы к учебнику Мордкович. Алгебра 7 класс

Глава 8. Функция у = х2

Функция у = х2 и её график

37.1. а) 1; б) 9; в) 4; г) 0.

37.2. а) 1; б) 9; в) 4; г) 0.

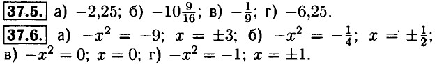
37.3. а) х2 = 4; х = ±2; б) х2 = 6,25; х = ±2,5; в) х2 = 0; х = 0; г) х2 = 2,25; х = ±1,5.

37.4. а) -9; б) 0; в) -1; г) -16.

37.7. а) 22 = 4; да; б) 32 ≠ 6; нет; в) 42 ≠ 8; нет; г) (-3)2 = 9; да.

37.8. а) 0,52 = 0,25; да; б) 1,22 ≠ 2,4; нет; в) 1,52 ≠ 3; нет; г) (-2,5)2 = 6,25; да.

37.10. а) -(-1)2 = -1; да; б) -(-2)2 ≠ 4; нет; в) -42 = -16; да; г) -(-3)2 ≠ -6; нет.

37.14. а) наибольшее 1; наименьшее 0; [—1; 1]; б) наибольшее 9; наименьшее 0; [-3; 2]; в) наибольшее не существует; наименьшее 0; (-2; 1]; г) наибольшее 9; наименьшее 0; [-1; 3].

37.15. а) наибольшее не существует; наименьшее 0; [-2; 3); б) наибольшее 9 наименьшее 0; [-3; 0]; в) наибольшее 9; наименьшее 0; [-2; 3]; г) наибольшее не существует; наименьшее 0; (-3; 2).

37.16. а) наибольшее 4; наименьшее 0; (-2; 2]; б) наибольшее 9; наименьшее (-1); [-3; -1]; в) наибольшее не существует; наименьшее 0; (-2; 3); г) наибольшее не существует; наименьшее 0; (-1; 3).

37.17. а) наибольшее 9; наименьшее не существует; [-3; -2); б) наибольшее 9; наименьшее не существует; (2; 3); в) наибольшее 9; наименьшее не существует; (0; 3); г) наибольшее 9; наименьшее не существует; [-3; -1).

37.18. a) Уmin = 1; Уmах = 4; б) Уmin = 0; Уmах = 4; в) Уmin = 0; Уmах = 1 г) Уmin = 0; Уmах = 9.

37.19. а) Уmin = 0, Уmах = 1; б) Уmin = 0; Уmах = 9;в) Уmin = 0; Уmах = 9; г) Уmin = 0; Уmах = 9.

37.20. а) 0; б) 0; в) 0; г) 0.

37.21. a) Уmin = 0, Уmах = 1; б) Уmin = 0; Уmах = -9; в) Уmin = 0; Уmах = 9; г) Уmin = 0; Уmах = 9.

37.22. a) Уmin = -4, Уmах = 0, 6) Уmin = -4; Уmах = 0; в) Уmin = -9; Уmах = -4, г) Уmin = -9, Уmах = -1.

37.23. а) 0; б) 0; в) 0; г) 0.

37.24. а) 0; б) 0; в) 0; г) 0.

37.25. а) 0; б) 0; в) -4; г) -9.

37.28. а) х2 = 1; х = ±1; (1; 1); (-1; 1); б) -х2 = -9; х = ±3; (3; -9); (-3; -9); в) х2 = 4; x = ±2; (2; 4); (-2; 4); г) -х2 = 0; х - 0; (0; 0).

37.29. а) х2 = 2х; х = 2; х = 0; (2; 4); (0; 0); б) - х2 = -3x; х = 3; х = 0; (3; -9); (0; 0); в) х2 = -х; х = -1; х = 0; (-1; 1); (0; 0); г) -х2 = х; х = -1; х = 0; (-1; -1); (0; 0).

37.30. а) х2 = х + 2; х2 - х - 2 = 0; (х - 2)(х +1) = 0; х = 2; х = -1; (2; 4); (-1; 1); б) - х2 = -х - 6; х2 - х - 6 = 0; (х - 3)(х + 2) = 0; х = 3; х = -2; (3; -9); (-2; -4); в) х2 = -х + 6; х2 + х - 6 = 0; (х + 3)(х - 2) = 0; х = -3; х = 2; (-3; 9); (2; 4); г) - х2 = х - 2; х2 + х - 2 = 0; (х + 2)(х - 1) = 0; х = -2; х = 1; (1; -1); (-2; - 4).

37.31. а) х2 = -2х + 3; х2 + 2х - 3 = 0; (х + 3)(х - 1) = 0; х = -3; х = 1; (-3; 9); (1; 1); б) -х2 = х + 5; х2 + х + 5 = 0; D < 0; в) -х2 = 2х - 3; х2 + 2х - 3 = 0; (х + 3)(х - 1) = 0; х = -3; х = 1; (-3; -9); (1; -1); г) х2 = х - 3; х2 - х + 3 = 0; D < 0.

<<< К началу   Решенния (окончание) >>>

 

 

???????@Mail.ru