Главная >> Алгебра 7 класс. Задачник с ГДЗ. Мордкович

Глава 9. Итоговое повторение

Функции и графики (окончание)

26. При каких значениях а, b, с график уравнения ах + by + с = 0:

    а) проходит через начало координат;
    б) расположен параллельно оси х;
    в) расположен параллельно оси у;
    г) совпадает с осями координат?

27. Постройте график функции у = х2. С помощью графика определите:

а) значения функции, если значение аргумента равно -1; 0,5; 2,5;
б) значения аргумента при значении функции, равном 4; 0; 9;
в) наибольшее и наименьшее значения функции на отрезке [-2; -1];
г) значения х, при которых у < 4.

28. Постройте график функции у = -х2. С помощью графика определите:

а) значения функции, если значение аргумента равно -3; 1,5; 2;
б) значения аргумента при значении функции, равном -1; 0; -9;
в) наибольшее и наименьшее значения функции на отрезке [-1; 2];
г) значения х, при которых у ≤ -9.

29. Постройте график функции у = х2. С помощью графика определите:

    а) значения функции, если х ≥ 1;
    б) значения аргумента, если 1 < у < 4;
    в) наименьшее значение функции;
    г) промежутки возрастания и убывания функции.

30. Постройте график функции у = -х2. С помощью графика определите:

    а) значения функции, если х < -2;
    б) значения аргумента, если -9 ≤ у < -4;
    в) наибольшее значение функции;
    г) промежутки возрастания и убывания функции.

31. Найдите наибольшее и наименьшее значения функции у = х2:

а) на отрезке [0; 2];
б) на полуинтервале (-1,2; 3];

в) на луче (-∞; -2];
г) на луче [-1; +∞).

32. Найдите наибольшее и наименьшее значения функции У = -х2:

    а) на отрезке [-2; 1];
    б) на интервале (-3; 1);
    в) на полуинтервале (0,3; 3];
    г) на луче (-∞; -1].

Решите графически уравнение:

33. а) х2 = 9; б) -х2 = 2х; в) х2 = -3х; г) -х2 = 2.

34.

а) -х2 = х - 6;
б) х2 = 2х - 1;

в) х2 = 3х + 4;
г) -х2 = 4х + 4.

35. Решите графически неравенство:

а) х2 > 4;
б) -х2 ≥ х - 2;

в) -х2 ≥ -9;
г) х2 < 2 + х.

36. Постройте график функции у = ƒ(x), где

С помощью графика найдите:

    а) ƒ(-1), ƒ(1), ƒ(2);
    б) значения х, при которых ƒ(x) = 0, ƒ(x) = 4, ƒ(x) = -6;
    в) область определения функции;
    г) множество значений функции.

37. Постройте график функции у = ƒ(x), где

С помощью графика найдите:

    а) ƒ(-1), ƒ(0), ƒ(2);
    б) значения х, при которых ƒ(x) = 0, ƒ(x) = -4, ƒ(x) = 1;
    в) область определения функции;
    г) множество значений функции.

38. Постройте график функции у = ƒ(x), где

С помощью графика найдите:

    а) область определения функции;
    б) множество значений функции;
    в) значение х, при котором функция претерпевает разрьн
    г) промежутки возрастания и убывания функции.

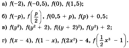
39. Дана функция у = ƒ(x), где ƒ(x) = 4х - 1. Найдите:

40. Дана функция у = ƒ(x), где ƒ(x) = 2x + 3. Найдите:

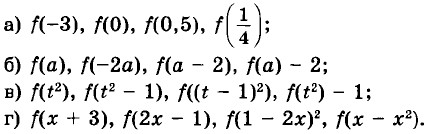
41. Дана функция у = ƒ(x), где ƒ(x) = x2. Найдите:

42. Дана функция у = ƒ(x), где ƒ(x) = -х2. Найдите:

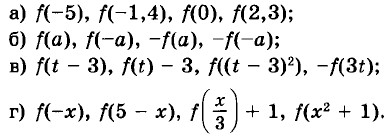
а) ƒ(-8), ƒ(-1,7), ƒ(1), ƒ(2,1);
б) ƒ(-р), -ƒ(р), ƒ(2р), -ƒ(-2р);
в) ƒ(z + 4), ƒ(z)+ 4, ƒ((z2 + 4), ƒ(z + 4)3);
г) ƒ(-x), ƒ(3 - х), ƒ(1 - 0,5x), ƒ(x2) + 3.

43. а) Даны функции у = ƒ(x) и у = g(x), где ƒ(x) = 2х - 5, g(x) = -3x + 4. При каком значении х выполняется равенство ƒ(x - 1) = g(x + 1)?
б) Даны функции у = ƒ(x) и у = h(x), где ƒ(x) = -4x - 1, h(x) = 2х + 9. При каком значении х выполняется равенство ƒ(x + 2) = h(x - 3)?

44. Дана функция у = ƒ(x), где ƒ(x) = х2. При каком значении х выполняется равенство:

    а) ƒ(х + 1) = ƒ(x - 2);
    б) ƒ(x - 4) = ƒ(x) - 4?

45. Даны функции у = ƒ(x) и у = g(x), где ƒ(x) = -x2, g(x) = 3х- 10. При каких значениях х выполняется равенство:

46. Дана функция у = ƒ(x), где

Построив график функции у = ƒ(x), определите, при каких значениях р уравнение ƒ(x) = р:

а) имеет два корня;
б) имеет один корень;

в) имеет три корня;
г) не имеет корней.

47. Дана функция у = ƒ(x), где

Построив график функции у = ƒ(x), определите, при каких значениях р уравнение ƒ(x) = р:

а) имеет два корня;
б) имеет один корень;

в) имеет три корня;
г) не имеет корней.

<<< К началу      Решенния >>>

 

 

???????@Mail.ru