Главная >> Алгебра 7 класс. Задачник с ГДЗ. Мордкович

Глава 9. Итоговое повторение

Функции и графики

1. а) Отметьте на координатной плоскости точку Р(-1; 2). Найдите точку, симметричную данной относительно оси ординат.
б) Отметьте на координатной плоскости точку К(3; -1). Найдите точку, симметричную данной относительно оси абсцисс.

2. а) Изобразите на координатной плоскости точку А(-3; 3) и прямую х = -2. Найдите точку, симметричную данной относительно построенной прямой,
б) Изобразите на координатной плоскости точку С(4; -2) и прямую у = 1. Найдите точку, симметричную данной относительно построенной прямой.

3. а) Даны точки А(-1; 4) и В(-1; 8). Найдите прямую, которая является осью симметрии для этих двух точек. Отметьте точку С(-2; 5) и найдите точку, симметричную ей относительно найденной прямой. Укажите ещё одну пару симметричных точек.
б) Даны точки К( 1; 5) и L(-3; 5). Найдите прямую, которая является осью симметрии для этих двух точек. Отметьте точку F(3; 7) и найдите точку, симметричную ей относительно найденной прямой. Укажите ещё одну пару симметричных точек.

4. а) Даны точки С(2; 4) и D(1; 5). Постройте прямую, симметричную прямой СО относительно оси абсцисс,
б) Даны точки E(-1; 4) и F(2; -2). Постройте прямую, симметричную прямой EF относительно оси ординат.

5. Функция задана формулой у = kx + m. Назовите значения коэффициентов k, m и охарактеризуйте график заданной функции, если:

а) у = -2х + 3;
б) у = 4х;

в) у = -5;
г) у = 0.

6. Не выполняя построения графика функции, укажите координаты точки пересечения прямой с осью у:

7. Не выполняя построения графика, определите, возрастает или убывает данная функция:

Изобразите схематично график функции у = kx + m согласно следующему условию:

8.

a) k > 0, m < 0;
б) k < 0, m > 0;

в) k > 0, m > 0;
г) k < 0, m < 0.

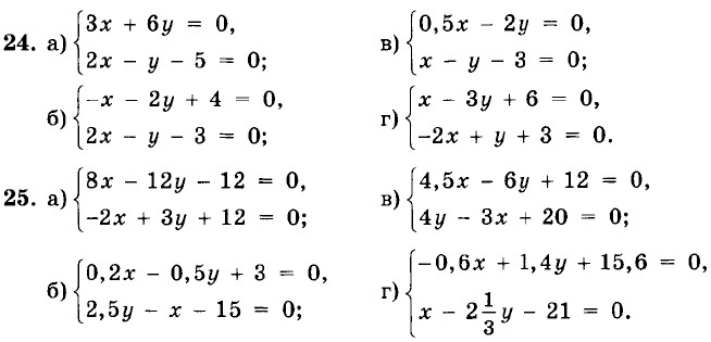
9.

a) k < 0, m = 0;
б) k = 0, m < 0;

в) k > 0, m = 0;
г) k = 0, m > 0.

10. Постройте график функции у = х - 6. По графику найдите:

    а) значение функции, если значение аргумента равно -2; 0; 3;
    б) значение аргумента, если значение функции равно -1; 0; 2;
    в) значения аргумента, при которых у > 0, у < 0;
    г) наибольшее и наименьшее значения функции на отрезке [1; 3].

11. Постройте график функции у = -х + 1. По графику найдите:

    а) значение функции, если значение аргумента равно -3; 0; 2;
    б) значение аргумента, если значение функции равно -2; 0; 1;
    в) значения аргумента, при которых у > 0, у < 0;
    г) наибольшее и наименьшее значения функции на отрезке [-2; 1].

12. Постройте график функции у = 2х - 2. С помощью графика найдите:

    а) координаты точек пересечения прямой с осью х и осью у;
    б) значения аргумента, при которых у > 0, у < 0;
    в) значения у, которые соответствуют значениям х, удовлетворяющим неравенству -1 ≤ х ≤ 2;
    г) промежуток, которому принадлежит переменная х, если унаим = -1, унаиб =6.

13. Постройте график функции у = -0,5x + 2. С помощью графика найдите:

а) координаты точек пересечения прямой с осью х и осью у,
б) значения аргумента, при которых у > 0, у < 0;
в) значения у, которые соответствуют значениям х, удовлетворяющим неравенству -2 < х 2;
г) промежуток, которому принадлежит переменная х, если унаим = -1, унаим = 4.

14. Найдите координаты точек пересечения прямой с осью х и осью у:

15. Определите, принадлежит ли графику данной линейной функции точка А, если:

    а) у = 0,6x + 30, А(-25; 15);
    б) у = -1,8x - 5,4, А(3; 0);
    в) у = 1,5x - 9, А(9; 4,5);
    г )у = -0,75x + 3, А(4; 0).

16. Найдите наименьшее и наибольшее значения линейной функции:

    а) у = -3x на отрезке [-2; 1];
    б) у = 2,5x - 2 на луче (-∞; 2];
    в) у = 1,5x на луче [-2; +∞);
    г) у = -х + 4 на отрезке [-1; 3].

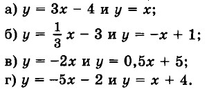
17. Найдите точку пересечения прямых графическим и аналитическим методами:

18. Задайте формулой функцию у = kx, график которой проходит через точку:

а) М(-20; 60);
б) N(17; -51);

в) К(45; 15);
г) L(-65; -13).

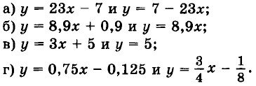
19. Определите взаимное расположение графиков функций, если:

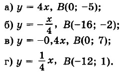
20. Задайте линейную функцию, график которой параллелен графику функции у = kx и проходит через точку В, если:

Постройте график заданной функции.

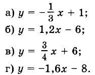
21. Постройте график функции у = 3х + 6. С помощью графика решите неравенство:

а) 3x + 6 > 0;
б) 3х + 6 ≤ 3;

в) 3x + 6 ≤ 0;
г) 3x + 6 > -3.

22. Используя графический метод, решите неравенство:

а) 4x + 8 < 0;
б) -3х - 7 ≤ 2;

в) 2х - 10 ≥ 0;
г) -х + 6 > 4.

23. Постройте график уравнения:

а) 2x + у - 4 = 0;
б) -х - 2у + 6 = 0;

в) -х - у + 1 = 0;
г) 3x + 4у - 12 = 0.

Решите графически систему уравнений:

Окончание >>>

 

 

???????@Mail.ru