Главная >> ГДЗ к учебнику Мордкович. Алгебра 7 класс

Глава 9. Итоговое повторение

Функции и графики (окончание)

39. а) -13; -1; 10; б) 4а - 1; -8а - 1; 4а - 9; 4а - 3; в) 4t2 - 1; 4t2 - 5; 4t2 - 8t + 7; 4t2 - 2; г) 4x + 11; 8x - 5; 4x2 + 4x; 4x - 4x2.

40. а) -1; 2; 3; 6; б) 3 - 2p; p + 3; p + 4; 2p + 3,5; в) 2y2 + 3; y2 + 7; 2y2 + 8y + 11; 2y2 + 3; г) 2x - 5; 5 - 2x; 4x2 - 1; x3 + 1.

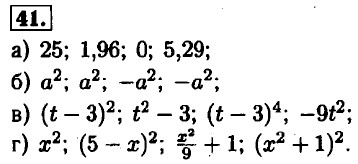
42. а) -64; -2,89; -1; -4,41; б) -p2; p2; -4p2; 4p2; в) -(z + 4)2; -z2 + 4; -(z2 + 4)2; -(z + 4)4; г) -x2; —(3 - x)2; -(1 - 0,5x)2; -x4 + 3.

43. а) 2 - (x - 1) - 5 = -3 • (x + 1) + 4; 5x = 8; x = 1,6; б) -4 • (x + 2) - 1 = 2 • (x - 3) + 9; 6x = 12; x = 2.

44. а) (x + 1)2 = (x - 2)2; x + 1 + x - 2 = 0; x = 0,5; б) (x - 4)2 = x2 - 4; 8x = 20; x = 2,5.

45. а) -(x + 2)2 = 3 • (x + 2) - 10; x2 + 7x = 0; x(x + 7) = 0; x = 0; x = 7; б) -(1 - x)2 = 1 - x2 - 10; 2x = 8; x = 4.

<<< К началу

 

 

???????@Mail.ru