Главная >> Алгебра 7 класс. Задачник с ГДЗ. Мордкович

Глава 9. Итоговое повторение

Линейные уравнения и системы уравнений

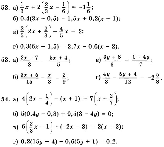
Решите уравнение:

48.

а) -3x - 1 = 0;
б) 2x + 7 = 5;

в) 5x - 2 = 0;
г) 9 - 4x = 1.

49.

а) 3x - x + 5x = 2,1;
б) x + 1,2x - 3,6x = -7;

в) 6x - 10x + x = 0,3;
г) 0,7x + 0,8x - x = 2.

50.

а) 3у - 11 = 1 - 2 у;
б) 2(у + 2) = -3(у - 1);

в) y + 4 = 2 у - 5;
г) 7(у - 3) = -2(у + 3).

51. а) 4(x - 5) - (7x + 9) = 1;
б) 2x - 3(4 - x) = 5 - (x - 1);
в) 8(3 - 2x) - (x - 2) = 9;
г) 5x - 6(2x + 7) = 13 - (x + 1).

55. Одно число больше другого на 14, а их сумма равна 58. Найдите эти числа.

56. Сумма двух чисел равна 72, причём одно из них в 3 раза больше другого. Найдите эти числа.

57. Одно число в 7 раз больше другого, а их разность равна 78. Найдите эти числа.

58. Отношение двух чисел равно 2 : 3, а сумма этих чисел равна 135. Найдите эти числа.

59. Отношение двух чисел равно 7 : 4. Найдите эти числа, если одно из них больше другого на 48.

60. Отношение трёх чисел равно 5 : 4 : 3, а их сумма равна 84. Найдите эти числа.

61. Отношение двух чисел равно 5:3. Если к первому числу прибавить 1, а второе число вычесть из 25, то получатся равные результаты. Найдите эти числа.

62. Одна сторона треугольника в 2 раза меньше другой стороны и на 3 см меньше третьей. Найдите стороны треугольника, если его периметр равен 31 см.

63. В треугольнике один угол в 3 раза меньше другого угла и на 20° больше третьего. Найдите углы треугольника.

64. Сторона АВ треугольника АВС составляет стороны ВС, а сторона АС на 2 см больше ВС. Найдите стороны треугольника, если его периметр равен 24 см.

65. Найдите углы треугольника, если их отношение равно 2 : 3 : 4.

66. В детском спортивном комплексе учащиеся имеют возможность заниматься тремя видами спорта: плаванием, теннисом и борьбой. При этом плаванием занимается в 2 раза больше учащихся, чем теннисом, и на 9 человек меньше, чем борьбой. Сколько человек занимается каждым видом спорта, если всего детский спортивный комплекс посещают 119 учащихся?

67. 33 старшеклассницы посещают фитнес-клуб. Из них занятия в тренажёрном зале посещают на 5 человек меньше, чем занятия шейпингом, и в 2 раза меньше, чем занятия аквааэро- бикой. Сколько старшеклассниц посещают занятия в каждой секции?

68. Моторная лодка за 2 ч по течению реки проплывает такое же расстояние, как за 3 ч против течения реки. Найдите собственную скорость лодки, если скорость течения реки равна 3 км/ч.

69. Из пунктов И и В одновременно навстречу друг другу выехали два велосипедиста и встретились через 40 мин. Скорость одного из них на 3 км/ч больше скорости другого. Найдите скорости велосипедистов, если расстояние между пунктами А и В равно 18 км.

70. Мастер за 2 ч работы изготавливает столько же деталей, сколько его ученик за 6 ч работы. Найдите производительность труда мастера, если он за час изготавливает на 12 деталей больше, чем его ученик.

71. Найдите три последовательных нечётных числа, сумма которых равна 81.

72. Из городовА и В, расстояние между которыми 350 км, одновременно навстречу друг другу выехали два мотоциклиста. Через 3 ч после начала движения им осталось проехать до встречи 20 км. Найдите скорости мотоциклистов, если скорость одного из них на 10 км/ч меньше скорости другого.

73. Один кусок электропровода на 54 м длиннее второго. Когда от каждого куска отрезали по 12 м, второй кусок оказался в 4 раза короче первого. Сколько метров провода было в каждом куске?

74. На запасных путях станции стояли два состава одинаковых вагонов. В одном составе было на 12 вагонов больше, чем в другом. Когда от каждого состава отцепили по 6 вагонов, в одном составе стало вагонов в 3 раза больше, чем в другом. Сколько вагонов было первоначально в каждом составе?

75. В корзине было в 2 раза меньше винограда, чем в ящике. После того как в корзину добавили 2 кг, в ней стало винограда на 0,5 кг больше, чем в ящике. Сколько винограда было в корзине?

76. В первый день в магазине было продано 30 % всего картофеля. Во второй день — 40 % оставшегося картофеля, а в третий день — последние 84 кг. Сколько килограммов картофеля было в магазине первоначально?

77. Расстояние между пунктами А и В равно 40 км. Из пункта В в пунктА выехал велосипедист, а из А навстречу ему — автомобиль. Автомобиль проехал до встречи расстояние в 4 раза большее, чем велосипедист. На каком расстоянии от А произошла встреча?

78. Из пункта А в пункт В со скоростью 60 км/ч выехал мотоциклист. Через 30 мин навстречу ему из В выехал другой мотоциклист, скорость которого составляла 50 км/ч. Какое время ехал второй мотоциклист до встречи с первым, если расстояние между А и В равно 162 км?

79. Катер шёл по течению реки 5 ч, а затем против течения 3 ч. Найдите собственную скорость катера, если известно, что скорость течения реки 3 км/ч, а всего пройдено 126 км.

Окончание >>>

 

 

???????@Mail.ru