Главная >> ГДЗ к учебнику Мордкович. Алгебра 7 класс

Глава 9. Итоговое повторение

Алгебраические преобразования (окончание)

155. а) (x - 3)(x2 + 3x + 9); б) (2а + 1)(4а2 - 2а + 1); в) (a + 5)(а2 -5а + 25); г) (1 - 3у)(1 + 3у + 9у2).

156. а) (x - 4 - 3x)(x - 4 + 3x) - (-2x - 4)(4x - 4) = -8 (1- x)(x + 2); б) (2x - у - x - 3у)(2x - у + x + 3у) = (x - 4у)(3x + 2у); в) (12 - а - 9)(12 + а + 9) = (3 - а)(21 + а); г) (z + 1 - 2z + 3)(z + 1 + 2z - 3) = (4 - z)(3z - 2).

157. a) (4 - p)2; б) (5x + 2у)2; в) (6q + 1)2; г) (m - 7n)2.

158. a) 5 • (p - 3q)2; 6) xz(x + 2z)2; в) 2 • (с + 5d)2; г) 3n(m - 1)2.

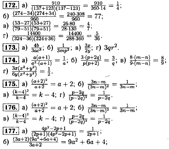
159. a) (x - 2)(x - 3); 6) (t + 1 )(t + 5); в) (z - 2)(z - 4); г) (у + 1)(у + 8).

165. а) (x - 1)2 = 9; x - 1 = 3; x = 4; x - 1 = -3; x = -2; б) (у + 1)2 = 81; у ± 1 = 9; у = 9; у + 1 = -9; у = -10; в) (x + 2)2 = 36; x + 2 = 6; x = 4; x + 2 = -6; x = -8; г) (у - 7)2 = 100; у - 7 =10; у = 17; у - 7 = -10; у = -3.

167. а) (x + 1)(x + 2) = 0; х = -1; х = -2; б) (x - 5)(x + 1) = 0; х - 5; х = -1; в) (х - 3)(x - 4) = 0; х - 3; х = 4; г) (х - 1)(x + 6) = 0; x = 1; x = -6.

169. a) a3 + b3 + 3а2b + 3аb2 = (a + b)3; 6) a3 - b3 - 3a2b + 3ab2 = (a - b)3.

170. a) (70 - 1)(70 + 1) =4900 - 1 = 4899; 6) (40 + 2)(40 - 2) = 1600 - 4 = 1596; в) (90 - 1)(90 + 1) = 8100 - 1 = 8099; г) (60 - 2)(60 + 2) = 3600 - 4 = 3596.

171. a) (90 + 1) = 8100 + 180 + 1 = 8281; 6) (60 - 1) = 3600 - 120 + 1 = 3481; в) (80 + 2) = 6400 + 320 + 4 = 6724; г) (70 - 2) = 4900 - 280 + 4 = 4624.

<<< К началу

 

 

???????@Mail.ru