Главная >> Домашние работы к учебнику Мордкович. Алгебра 7 класс

Глава 9. Итоговое повторение

Алгебраические преобразования

107. а) 81 + 256 = 337; б) 1 - 25 = -24; в) 27 - 1 = 26; г) 1000 - 1024 = -24.

108. а) 64 - 1 - 27 = 36; б) 1 - 64 - 25 = -88; в) 1 + + 62 - 25 = 40; г) 81 - 64 + 1 = 18.

113. а) 54; б) 142; в) 34; г) 26.

114. а) 162; б) 44.

115. а) 93; б) 272.

116. а) 93; б) 272.

117. а) а7b12; б) c12d10; в) m14n5; г) p5q13.

118. а) z8; б) а12; в) x30; г) d9.

119.а) а6 • а5 = а11; б) d12 • d2 = d14; в) ƒ12 • ƒ4 = ƒ16; г) х16 • x3 = x19.

120. а) а6 • а5 = а11; б) d12 • d2 = d14; в) ƒ12 • ƒ4 = ƒ16; г) х16 • x3 = x19.

123. а) -36х6у3; k = —36; б) -p3q12; k = -1;, в) m6nб; k = 1; г) 0,75b4; k = 0,75.

124. а) х = 2; б) х3 = -125; х = -5; в) х = 6; г) х5 = -32; х = -2.

125. а) х = ±1; б) х4 = 16; х = ±2; в) х = ±2; г) х4 = 81; х = ±3.

128. а) 2x = 27; x = 7; б) 5x - 4 = 53; x - 4 = 3; x = 7; в) 3х = 35; x = 5; г) 6x + 1 = 63; x + 1 = 3; x = 2.

129. а) 7 = 73; 3x = 3; x = 1; б) 32x - 1 = 33; 2x - 1 = 3; 2х = 4; x = 2; в) 25х = 210; 5x = 10; x = 2; г) 53х + 4 = 34; 3x + 4 = 4; 3x = 0; x = 0.

130. а) x + 3 = 1; x = -2; б) 2x - 5 = -3; 2x = 2; x = 1; в) x - 1 = 2; x = 3; г) 5x + 4 = -1; 5x = -5; x = -1.

132. 4x • 5x = 180; 20x2 = 180; x2 = 9; x = 3

133. 3x • 4x • 6x = 576; 72x3 = 576; x3 = 8; x = 2

134. а) -x2 - 4x - 5; б) 6c2d - 3cd2; в) -x2 - 3x + 4; г) -q3 + рq.

135. а) -5m + 5; б) -3аb + 6b2 + 6а2 - 2аb = 6а2 - 6аb + 6b2; в) -2n2 - 6n + 1; г) 5xу - у2 + 4х2 - 12xу = 4x2 - 7xу - у2.

136. а) 72 + 9а - 8а - а2 = -а2 + а + 72; б) 2bс + 6b2 - 6с2 - 9bс = 6b2 - 7bс - 6с2; в) 15b -15 - b2 + b = -b2 + 16b - 15; г) -4а2 + 12ас + 5ас - 15с2 = -4а2 + 17ас - 15с2.

137. а) а2 + 4а + 4; б) 9b2 - 66 + 1; в) x2 - 16x + 64; г) 16у2 + 8у + 1.

138. а) 16m2 + 40mn + 25n2; б) 4z2 - 12zt + 9t2; в) 81р2 - 126рq + 49у2; г) 64r2 + 176rs + 121s2.

139. а) 9x2 - 1; б) 169m2 - 121n2; в) 49у2 - 100р2; г) 16 - 25у2.

140. а) x3 + 27; б) 8а3 - 27b3; в) x3 + 1; г) 343у6 - 1.

141. а) 2 + b - 2а - аb - 2 + 2b + а - аb = 3b - а - 2аb; б) 2а2 + 2аb - аb - b2 - а2 + 2b2 + аb - 2аb = а2 + b2; в) 24 + 3n - 8m - mn + mn + 6m - 4n - 24 = -n - 2m; г) 18m2 + 9mn - 4mn - 2n2 - 18m2 + 12mn - 3mn + 2n2 = 14mn.

142. а) 25 - x2 + x2 + 6x - 9 = 6x +16; б) аb2 + b3 + 8а3 - b3 = 8а3 + аb2; в) 9а2 + 6аb + b2 - а2 + 62 = 8а2 + 6аb + 2b2; г) у3 + 27 - у3 + 2у = 2у + 27.

143. а) х2 + 25 - 10х - х2 + 10х - 21 = 4; 4 = 4; б) х2 - 9 - х2 + 8х + 9 = 8х; 8х = 8х; в) х2 - 12х + 11 - х2 - 12х - 36 = -25; -24х = 0; г) х2 - 3х - 4 - х2 + 4 = -3х; -3х = -3х.

144. а) х2 + 3х + 2 - х2 - 7х - 12 = 0; -4х = 10; х = -2,5; б) 10х2 - 10х2 + 2х + 15х - 3 = 31; 17х = 34; х = 2; в) х2 - 2х - 3х + 6 - х2 - х + 4х + 4 = 0; 2х = 10; х = 5; г) 12х2 - 12х2 + 9х - 4х + 3 = 0; 5х = -3; х = -0,6.

145. а) х2 + 3х + 2 - х2 - 7х - 12 = 0; -4х = 10; х = -2,5; б) 10х2 - 10х2 + 2х + 15х - 3 = 31; 17х = 34; х = 2; в) х2 - 2х - 3х + 6 - х2 - х + 4х + 4 = 0; 2х = 10; х = 5; г) 12х2 - 12х2 + 9х - 4х + 3 = 0; 5х = -3; х = -0,6.

147. а) 5 • (3а - 5b); б) а(3а + b); в) 7 • (4с + 3b); г) 2c(2dc - 1).

148. а) 3аb(4а + b); б) а(2а2 - аb + 2); в) 5cd(d2 - 3с2); г) 5с(b2с + 2с2 - b).

149. а) (3 - а)(а + b); б) (х - у)(х - у + 2у) = у2 - х2; в) (mn + 2n)(m - n); г) (р + q)(2p - q).

150. а) 2 • (х - у) + х(х - у) = (2 + х)(х - у); б) 4n(m - 2) - n(m - 2) = (4m - n)(m - 2); в) а(а + b) - 7 • (а + b) = (a - 7)(а + b); г) 3q(2p + q) + (2p + q) = (3q + 1)(2p + q).

151. a) (x - 11)(x + 11); 6) (7m - 2)(7m + 2); в) (13 - p)(13 + p); г) (8 - 5n)(8 + 5n).

152. a) (x2 - 4)(x2 + 4) = (x + 2)(x - 2)(x2 + 4); 6) (12y - z3)(12y + z3); в) (9 - q2)(9 + y2) = (3 - q)(3 + y)(9 + y2); г) (15m + n2)(15m - n2).

153. a) 2 • (2x + y)(2x - у); б) x(4 + y)(4 - у); в) 3 • (x + + 3z)(x - 3z); г) yz(y + 5z)(y - 5z).

154. a) (x - y)(x + y) + 2 • (x + у) = (x - у + 2)(x + y); 6) (p - q)(p + q)+ pq(q - p) = (p - q)(p + q + pq); в) 3 • (a - b) - (a - b)(a + b) = (a - b)(3 - a - b); г) m2 • (m - n) + (m - n)(m + n) = (m - n)(m2 + m + n).

<<< К началу   Решенния (окончание) >>>

 

 

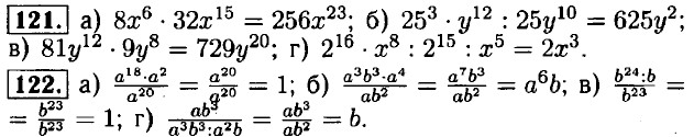
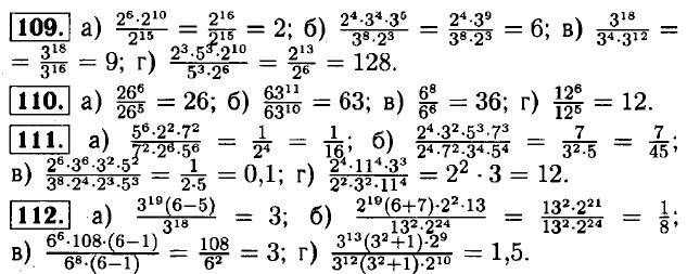
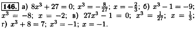
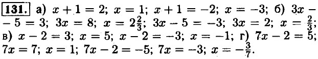
???????@Mail.ru