Главная >> Алгебра 7 класс. Задачник с ГДЗ. Мордкович

Глава 9. Итоговое повторение

Алгебраические преобразования (окончание)

Разложите многочлен на множители:

147. а) 15а - 25b; б) 3а2 + аb; в) 28с + 21b; г) 4dc2 - 2с

148.

а) 12 а2b + 3 аb2;
б) 2а3 - а2b + 2а;

в) bcd3 - 15c3d;
г) 5b2с2 + 10с3 - 5bс.

149.

а) 3(а + b) - а(а + b);
б) (х - у)2 + 2у(х - у);

в) m(m - n) + 2n(m - n);
г) 3q(p + q) - (р + q)2.

150.

а) 2х - 2у + х2 - ху;
б) 4m2 - 8m - mn + 2n;

в) а2 + аb - 7а - 7b;
г) 6pq + 3у2 + 2р + q.

151. а) х2 - 121; б) 49m2 - 4; в) 169 - р2; г) 64 - 25а2.

152. а) х4 - 16; б) 144у2 - z6; в) 81 - q4; г) 225m2 - n4.

153.

а) 8х2 - 2у2;
б) 16х3 - ху2;

в) 3х2 - 27z2;
г) y3z - 25yz3.

154.

а) х2 - у2 + 2х + 2у;
б) р2 + pq2 - q2 - p2q;

в) 3а - 3b - а2 + b2;
г) m3 - n2 - nm2 + m2.

155. а) х3 - 27; б) 8а3 + 1; в) а3 + 125; г) 1 - 27у3.

156.

а) (х - 4)2 - 9х2;
б) (2х - у)2 - (х + 3у)2;

в) 144 - (а + 9)2;
г) (z + 1)2 - (2z - 3)2.

157.

a) 16 - 8р + р2;
б) 25x2 + 20ху + 4у2;

в) 36q2 + 12q + 1;
г) m2 - 14mn + 49n2.

158.

а) bр2 - 30pq + 45q2;
б) x3z + 4x2z2 + 4xz3;

в) 2с2 + 20cd + 50d2;
г) 3m2n - 6mn + 3n.

159.

a) x2 - 5x + 6;
6) t2 + 6t + 5;

в) z2 - 6z + 8;
г) у2 + 9у + 8.

Решите уравнение:

160.

a) x2 - 144 = 0;
6) 100 - 81x2 = 0;

в) 196 - у2 = 0;
г) 225у2 - 64 = 0.

161.

a) x3 - 36x = 0;
б) 12x5 - 3x3 = 0;

в) 49x3 - x = 0;
г) 2x4 - 32x2 = 0.

162.

a) y2 - 6y + 9 = 0;
6) 4t2 + 28t + 49 = 0;

в) 49 + 14x + x2 = 0;
г) 36z2 - 12z + 1 = 0.

163.

a) x3 + 16x2 + 64x = 0;
6) 8y4 - 40y3 + 50y2 = 0;

в) 81x4 - 18x3 + x2 = 0;
г) 27t3 + 36t2 + 12t = 0.

164.

a) x4 - 81 = 0;
6) 256x5 - x = 0;

в) x8 - 256 = 0;
г) 625x6 - x2 = 0.

165.

a) (x - 1)2 - 9 = 0;
6) 81 - (у + 1)2 = 0;

в) (x + 2)2 - 36 = 0;
г) 100 - (у - 7)2 = 0.

166.

a) (x + 3)2 - 4x2 = 0;
б) 16x2 - (x - 5)2 = 0;

в) (x - 2)2 - 9x2 = 0;
г) 25x2 - (x + 4)2 = 0.

167.

a) x2 + 3x + 2 = 0;
6) x2 - 4x - 5 = 0;

в) x2 - 7x + 12 = 0;
г) x2 + 5x - 6 = 0.

168. Докажите тождество:

169. Докажите тождество:

    а) а3 + b3 + 3аb(а + b) = (а + b)3;
    б) а3 - b3 - 3аb(а - b) = (а - b)3.

Вычислите, используя формулы сокращённого умножения:

170. а) 69 • 71; б) 42 • 38; в) 89 • 91; г) 58 • 62.

171. а) 912; б) 592; в) 822; г) 682.

172. Вычислите наиболее рациональным способом:

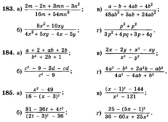
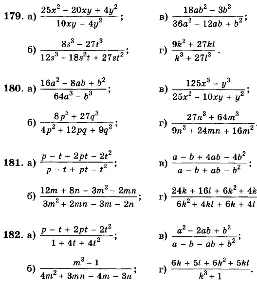
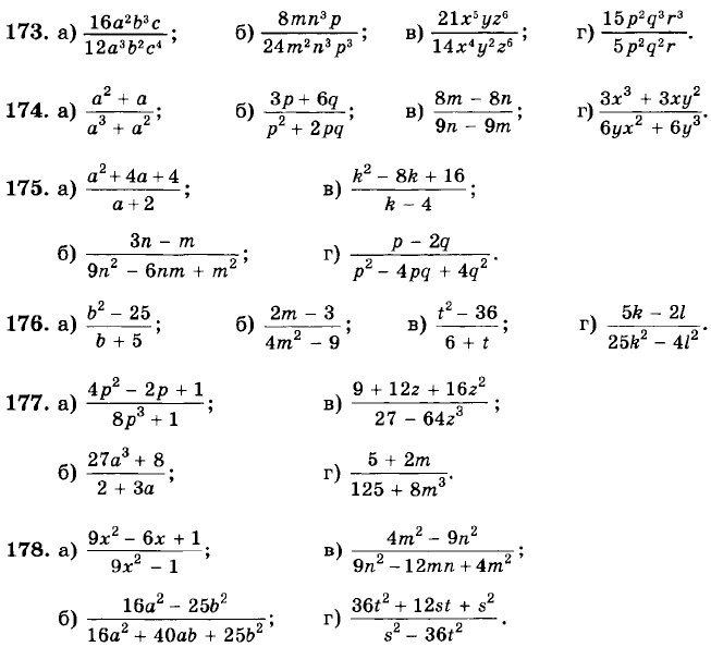
Сократите дробь:

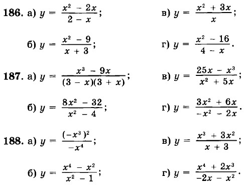
Постройте график функции:

<<< К началу      Решенния >>>

 

 

???????@Mail.ru