Главная >> Алгебра 7 класс. Задачник с ГДЗ. Мордкович

Глава 9. Итоговое повторение

Алгебраические преобразования

Вычислите:

107. а) 34 + 28; б) (-1)10 - 52; в) 33 - 170; г) 103 - 210.

108. а) (-2)6 - 5,90 - 32 • 3; б) 7,40 + (-22)3 - 55 : 53; в) 7,80 + ((-2)2)3 - 53 : 5; г) 313 : (33)3 - (-23)2 + 4,70.

113. Представьте в виде степени с натуральным показателем:

    а) 625; б) 196; в) 81; г) 64.

114. Представьте число 256 в виде:

    а) квадрата натурального числа;
    б) четвёртой степени натурального числа.

115. Представьте число 729 в виде:

а) куба натурального числа;
б) квадрата натурального числа.

116. а) Представьте число 100 в виде произведения квадратов двух натуральных чисел.
б) Представьте число 216 в виде произведения кубов двух натуральных чисел.

Упростите выражение:

117.

а) а3b5 • а4b7;
б) c4d7 • c8d3;

в) m9n2 • n6m3;
г) p2q7 • p3q6.

118. а) (z2)4; б) (а6)2; в) (х5)6; г) (d3)3.

119. а) (а3)2 • а5; б) (d4)3 • d2; в) (ƒ6)2 • ƒ4; г) (х4)4 • х3.

120.

a) (х3у2)2 • у5 • х4;
б) s5(t4)3 • (s4)6t2;

в) (k5)3l7 • k4 • (l2)8;
г) а3b5 • (b2)7а4.

121.

a) (2х2)3 • (2х3)5;
б) (25у4)3 : (-5y5)2;

в) (3у3)4 • (-3у4)2;
г) (16х2)4 : (8х)5.

123. Преобразуйте выражение в одночлен стандартного вида и выпишите его коэффициент k:

Решите уравнение:

124. a) x5 = 32; б) -2x3 = 250; в) x3 = 216; г) 5x5 = -160.

125. a) x2 = 1; б) 3x4 = 48; в) x6 = 64; г) 2x4 = 162.

126. a) (2x)7 = 128; 6) (5x)4 = 81; в) (3x)5 = 32; г) (6x)2 = 144.

127. a) x3 + 1 = 0; 6) 3x5 + 100 = 4; в) x5 - 20 = 12; г) (3x)3 - 25 = 100.

128. a) 2х = 128; б) 5x - 4 = 125; в) 3х = 243; г) 6х+1 = 216.

129. a) у = 343; 6) 32х - 1 = 27; в) 2 = 1024; г) 53х + 4 = 625.

130.

a) (x + 3)3 = 1;
6) (2x - 5)5 = -243;

в) (x - 1)5 = 32;
г) (5x + 4)7 = -1.

131.

a) (x + 1)8 = 256;
6) (3x - 5)4 = 81;

в) (х - 2)6 = 729;
г) (7x - 2)4 = 625.

132. Стороны прямоугольника относятся как 4 : 5, а его площадь равна 180 см2. Найдите стороны прямоугольника.

133. Измерения прямоугольного параллелепипеда относятся как 3 : 4 : 6, а его объём равен 576 см3. Найдите измерения прямоугольного параллелепипеда.

134. Приведите многочлен к стандартному виду:

    а) х2 - 2х + 4 - 2x2 - 3x - 9 + х;
    б) 5c2d - cd2 + d3 - 2cd2 + c2d - d3;
    в) 12 + 3x2 - 2x - x - 1 - 4x2 - 7;
    г) р3 + pq + pq2 - q3 - р3 - q3 - pq2.

135. Упростите выражение:

    а) (m2 - 5m + 1) - (m2 - 4);
    б) -3b(а - 2b) + 2а(3а - b);
    в) -(9 + n2) - (6n + n2 - 10);
    г) у(5х - у) + 4х(х - 3у).

136. Преобразуйте произведение в многочлен стандартного вида:

а) (9 - а)(8 + а);
б) (2b - 3с)(2с + 3b);

в) (15 - b)(b - 1);
г) (4а - 5с)(-а + 3с).

Преобразуйте выражение в многочлен стандартного вида с помощью формул сокращённого умножения:

137. а) (а + 2)2; б) (36 - 1)2; в) (х - 8)2; г) (1 + 4у)2.

138.

a) (4m + 5n)2;
б) (2z - 3t)2;

в) (9р - 7q)2;
г) (8r + 11s)2.

139.

a) (3x - 1)(3x + 1);
б) (13m - 11n)(13m + 11n);

в) (10р + 7q)(7q - 10р);
г) (4 - 5у)(5у + 4).

140. а) (х + 3)(x2 - 3x + 9);
б) (2а - 3b)(4а2 + баb + 9b2);
в) (х + 1)(x2 - х + 1);
г) (7у2 - 1)(49у4 + 7у2 + 1).

Упростите выражение:

141. а) (1 - а)(2 + b) - (2 + а)(1 - b);
б) (2а - b)(а + b) - (а + 2b)(а - b);
в) (3 - m)(8 + n) + (m - 4)(n + 6);
г) (9m - 2n)(2m + n) - (6m + n)(3m - 2n).

142. а) (5 - x)(5 + x) + (x - 3)2;
б) b2(а + b) + (2а - b)(4а2 + 2аb + b2);
в) (3а + b)2 - (а + b)(а - b);
г) (у + 3)(у2 - 3у + 9) - у(у2 - 2).

143. Докажите тождество:


    а) (х - 5)2 - (х - 7)(х - 3) = 4;
    б) (х + 3)(x - 3) - (х - 9)(x + 1) = 8x;
    в) (х - 11)(x - 1) - (х + 6)2 = -25;
    г) (х + 1)(x - 4) - (х - 2)(х + 2) = -3x.

Решите уравнение:

144. а) (х + 1)(x + 2) - (х + 3)(х + 4) = 0;
б) 10х2 - (2х - 3)(5х - 1) = 31;
в) (х - 2)(х - 3) - (х + 1)(х - 4) = 0;
г) 12х2 - (4х - 3)(3х + 1) = - 2.

145. а) 9x2 - 1 - (3х - 2)2 = 0;
б) (2х - 3)2 - 2х(4 + 2х) = 11;
в) х + (5х + 2)2 = 25(1 + х2);
г) (4х - 3)(3 + 4х) - 2х(8х - 1) = 0.

146. а) (2х + 3)(4х2 - 6х + 9) = 0;
б) (х - 1)(х2 + х + 1) = -9;
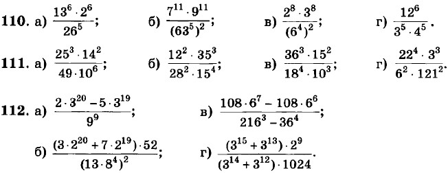
в) (3х - 1)(9х2 + 3х + 1) = 0;
г) (х + 2)(х2 - 2х + 4) = 7.

Окончание >>>

 

 

???????@Mail.ru