Главная >> Алгебра 7 класс. Макарычев. ГДЗ

§ 4. Статистические характеристики

Формулы (окончание)

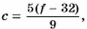
Пример 2. Из формулы где ƒ — температура в градусах Фаренгейта, с — температура в градусах Цельсия, выразим переменную ƒ через с.

Умножив обе части равенства на 9, получим

    9с = 5(ƒ - 32).

Отсюда

    9с = 5ƒ - 160, 5ƒ =9с + 160.

Значит, т. е. ƒ = 1,8с + 32.

Мы получили формулу, позволяющую переходить от температуры в градусах Цельсия к температуре в градусах Фаренгейта.

Упражнения

196. Пользуясь формулой b = 1,067а, где а — расстояние в вёрстах, b — расстояние в километрах, выразите в километрах расстояние, равное:

    а) 6 верстам; б) 12,5 версты; в) 104 верстам.

197. Выразите в килограммах массу, равную 3 пудам, 20,5 пуда, воспользовавшись формулой р = 16,38m, где m — масса в пудах, р — масса в килограммах.

198. Пользуясь формулой с = 0,454/, где ƒ — масса в фунтах, с — масса в килограммах, выразите в килограммах массу, равную:

    а) 8 фунтам; б) 30,5 фунта.

199. Как изменится площадь прямоугольника, если:

    а) его длину и ширину уменьшить на 10%;

    б) его длину увеличить на 30%, а ширину уменьшить на 30% ?

200. Как изменится объём куба, если длину его ребра увеличить на 20% ?

201. Цену на товар сначала повысили на 15%, а затем снизили на 15%, так как товар перестал пользоваться спросом. Первоначальная цена товара составляла ер., а окончательная — b p. Сравните числа а и b (выберите верный ответ).

    1. а > b 2. а < b 3. а = b

    4. Сравнить нельзя, так как неизвестно значение а

202. На распродаже цену на костюм снизили на 20%. На сколько процентов надо повысить новую цену, чтобы вернуться к первоначальной?

203. Найдите:

    а) какой температуре по Фаренгейту соответствует 4 °С; -15°С; 0°С;

    б) какой температуре по Цельсию соответствует 20°F; -16°F; 0°F.

204. Может ли температура быть:

    а) положительной но Цельсию и отрицательной но Фаренгейту;

    б) положительной по Фаренгейту и отрицательной по Цельсию?

205. Выразите из формулы:

    а) s = at переменную t;

    б) υ = υ0 + at переменную а;

<<< К началу      Решенния >>>

 

 

???????@Mail.ru