Главная >> Домашние работы к учебнику Макарычева. Алгебра 7 класс

Решенния упражнений

Формулы (продолжение)

196. b = 1,067а: а) а = 6 вёрст. b = 1,067а = 1,067 х 6 = 6,402 км; б) а = 12,5 вёрст. b = 1,067а = 1,067 х 12,5 = 13,3375 км; в) а = 104 версты. b = 1,067а = 1,067 • 104= 110,968 км.

197. р = 16,38m; m = 3 пуда; р — 16,38m = 16,38 х 3 = 49,14 кг; m = 20,5 пуда; р = 16,38m = 16,38 х 20,5 = 335,79 кг.

198. с = 0,454/: а) ƒ = 8 фунтов, с = 0,454ƒ = 0,454 • 8 = 3,632 кг; б) ƒ = 30,5 фунта; с = 0,454ƒ = 0,454 • 30,5 = 13,847 кг.

199. Пусть, длинна прямоугольника равняется а, а длинна 6. Площадь прямоугольника равняется S = а • b.

а) Если длину и ширину прямоугольника уменьшить на 10%, то они станут равными соответственно 0,9а и 0,9b. Значит S = 0,9а • 0,9b = 0,81аb ⇒ 1 - 0,81 = 0,19 = 19%. Площадь треугольника уменьшится на 19%.

б) Длинна будет равна 1,3а, ширина 0,7b ⇒ S = 1, 3а • 0,7b = 0,91аb ⇒ 1 - 0,91 = 0,09 = 9%. Площадь треугольника уменьшится на 9%.

200. Пусть, длинна ребра куба равна х, после увеличения на 20% ребро будет равно 1,2х. Объём куба изначально был равен: а3. Объём куба после увеличения: (1,2а)3 = 1,728а3.

1,728 - 1 = 0,728 = 72,8%. Объём куба увеличиться на 72,8%.

201. Цену на товар сначала повысили на 15% , стоимость товара стала 1,15а = с. Затем снизили на 15%, стоимость товара стала b = (1 - 0,15) с = 0,85с = 0,85 • 1,15а = 0,9775а; а > 0,9775а; а > b. Ответ: 1. а > b.

202. Пусть изначально костюм стоил а. После того как цену снизили на 20% стоимость костюма стала b = (1 — 0,2) а = 0,8а. с — насколько нужно увеличить в % цену, чтобы вернуться к первоначальной стоимости. Значит (1 + с) • b = а ⇒ 0,8а + 0,8ас = а ⇒ 0,8 + 0,8с = 1 ⇒ 0,8с = 0,2 ⇒ с = 0,25. Ответ; На 25%.

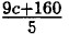
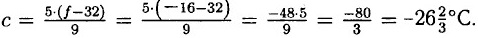
203. Пользуясь формулой: где ƒ — температура в градусах Фаренгейта, с— температура в градусах Цельсия. Выразим переменную ƒ через с; 9с = 5ƒ - 160 ⇒ 5ƒ = 9с + 160 ⇒ ƒ = = 1,8с + 32.

а) с = 4°С; ƒ = 1,8с + 32 = 1,8 • 4 + 32 = 39,2° F;

    с = -15°С; ƒ = 1,8с + 32 = 1,8 • (-15) + 32 = 32 - 27 = 5° F.

    с = 0° С; ƒ = 1,8с + 32 = 1,8 • 0 + 32 = 32° F.

б) ƒ = 20° F;

    ƒ = -16° F;

    ƒ = 20° F;

204. а) нет, ƒ = 1,8с + 32 > 0 при с > 0;

б) Да, например с = -15°С - ƒ = 1,8с + 32 = 1,8 • (-15) + 32 = 32 - 27 = 5° F.

205. a) s = at ⇒ t — — при а ≠ 0.

б) υ = υ0 + at ⇒ at = υ - υ0 ⇒ a = — при t ≠ 0.

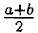
в) S = • h ⇒ a + b = ⇒ b = - а — при h ≠ 0.

<<< К началу

 

 

???????@Mail.ru