Главная >> Алгебра 7 класс. Макарычев. ГДЗ

§ 7. Степень и ее свойства

Возведение в степень произведения и степени (продолжение)

Пример 2. Представим выражение (а4)3 в виде степени с основанием а.

Имеем:

    4)3 = а4 • 3 = а12.

Свойства степеней, выраженные формулами (аb)n = аnbn и (аm)n = аmn, имеют место и для степеней с нулевым показателем (если основания отличны от нуля).

Упражнения

428. Выполните возведение в степень:

    а) (ху)4; в) (2x)3; д) (-5x)3; ж) (-0,2ху)4;

    б) (abc)5; г) (3а)2; е) (-10аb)2; з) (-0,5bd)3.

429. Возведите в степень:

    а) (mn)5; в) (-3у)4; д) (10xy)2; ж) (-am)3;

    б) (xyz)2; г) (-2аx)3; е) (-2abx)4; з) (-хn)4.

430. Найдите значение выражения:

    а) (2 • 10)3; б) (2 • 5)4; в) (3 • 100)4; г) (5 • 7 • 20)2.

431. Докажите, что:

    а) квадраты противоположных чисел равны;

    б) кубы противоположных чисел противоположны.

432. Как изменится площадь квадрата, если его сторону увеличить в 2 раза? в 3 раза? в 10 раз? в n раз?

433. Как изменится объём куба, если его ребро увеличить в 2 раза? в 3 раза? в 10 раз? в n раз?

434. (Для работы в парах.) На покраску куба затратили 40 г краски. Хватит ли 1 кг краски, чтобы покрасить куб, ребро которого в 3 раза больше?

    1) Выскажите друг другу предположение об ожидаемом ответе.

    2) Выполните самостоятельно вычисления.

    3) Обсудите, подтвердились ли ваши предположения.

435. (Для работы в парах.) Бассейн, имеющий форму куба, наполняется водой через трубу за 40 мин. Успеют ли за 5 ч наполнить водой через ту же трубу бассейн, имеющий форму куба, ребро которого вдвое больше?

    1) Выскажите друг другу предположение об ожидаемом ответе.

    2) Выполните самостоятельно вычисления.

    3) Обсудите, подтвердились ли ваши предположения.

436. Представьте в виде степени произведение:

    а) b3х3; в) х2у2z2; д) 32а5;

    б) а7у7; г) (-а)3b3; е) 0,027m3.

437. Найдите значение выражения:

    а) 24 • 54; в) 0,2515 • 4,15;

    б) 43 • 253; е) 0,26 • 507.

438. Выполните возведение в степень:

    а) (х3)2; в) (а5)4; д) (у2)5; ж) (b3)3;

    б) (х2)3; г) (а6)3; е) (у7)2; з) (b5)2.

430. Запишите в виде степени с основанием х выражение:

    а) (х6)4; в) х2х2; д) х2х3х4;

    б) х6х4; г) (х2)2; е) ((х2)3)4.

440. Представьте в виде степени с основанием а выражение:

    а) (а5)2; б) а5а2; в) (а4)3;

    г) а3а4; д) а5а5; е) (а5)5.

<<< К началу      Окончание >>>

 

 

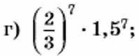
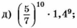
???????@Mail.ru