Главная >> Алгебра 7 класс. Макарычев. ГДЗ

§ 7. Степень и ее свойства

Возведение в степень произведения и степени (окончание)

441. Представьте в виде степени с основанием а:

    а) аnа3; б) ааm; в) а2аm;

    г) (a2)m; д) (an)3; е) (а3)n.

442. Представьте в виде степени с основанием 5 число:

    а) 254; б) 1253; в) 6252.

443. Представьте число 220 в виде степени с основанием:

    а) 22; б) 24; в) 25; г) 210.

444. Запишите число 260 в виде степени с основанием:

    а) 4; б) 8; в) 16; г) 32.

445. Выражение а12 представьте в виде степени несколькими способами.

446. Известно, что а2 = m. Найдите а6.

447. Упростите выражение:

а) х3 • (х2)5;

б) (а3)2 • а5;

в) (а2)3 • (а4)2;

г) (х2)5 • (x5)2;

д) (m2m3)4;

е) (х4x)2.

448. Запишите в виде степени с основанием а выражение:

а) (a2)4;

б) а3 • (а3)2;

в) (а5)2 • (а2)2;

г) (а3)3 •(а3)3;

д) (а3а3)2;

е) (аа6)3,

449. Упростите выражение:

а) x5 • (х2)3;

б) (х3)4 • x8;

в) (х4)2 • (х5)3;

г) (х2)3 • (x3)5;

д) (X3)2 • (x4)5;

е) (х7)3 • (X3)4.

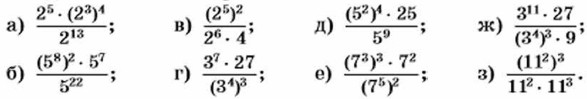
450. Найдите значение выражения:

Упражнения для повторения

451. Известно, что а < 0 и b > 0. Сравните с нулём значение выражения:

а) ab2;

б) а3b;

в) а2b;

г) ab3;

д) -ab3;

е) а2 + b2;

ж) (а + b)2;

з) (а - b)2.

452. Какой цифрой может оканчиваться:

    а) квадрат натурального числа;

    б) четвёртая степень натурального числа?

453. Известно, что график функции у = kх + 5,4 проходит через точку A(3,7; -2). Найдите значение коэффициента k.

454. На рисунке 59 построен график некоторой функции. Используя график, найдите:

    а) значение у при х, равном -2; -1; 2;

    б) значения х, при которых у равно -0,5; 2.

Контрольные вопросы и задания

1. Сформулируйте определение степени числа с натуральным показателем. Приведите примеры и назовите в каждом из них основание и показатель степени.

2. Сформулируйте и докажите основное свойство степени.

3. Сформулируйте правило умножения степеней с одинаковыми основаниями. Представьте в виде степени произведение 12 • 123 • 126.

4. Сформулируйте правило деления степеней с одинаковыми основаниями. Представьте в виде степени частное 5,76: 5,73.

5. Дайте определение степени числа с нулевым показателем.

6. Сформулируйте правило возведения в степень произведения, правило возведения в степень степени. Представьте в виде степени выражение: (5аb)4; (а3)6; у4 • (y2)6.

<<< К началу      Решенния >>>

 

 

???????@Mail.ru