Главная >> Алгебра 7 класс. Макарычев. ГДЗ

Дополнительные упражнения к главе 3

К параграфу 7

511. Верно ли равенство:

    а) 32 + 42 + 52 = 62; б) (1 + 2 + 3 + 4)2 = 13 + 23 + 33 + 43?

512. Докажите, что 267 + 155 - 119 кратно 10.

513. Разложив число на простые множители, представьте ого в виде произведения степеней простых чисел:

    а) 54; б) 144; в) 225; г) 500.

514. Представьте число в виде степени с основанием 2 или 3:

    а) 64; б) 81; в) 512; г) 729; д) 1024.

515. Представьте число в виде суммы степеней числа 2:

    а) 6; б) 18; в) 42.

516. Представьте число в виде степени с показателем, отличным от 1:

    а) 121; б) -32; в) 0,125; г) 625; д) -0,216; е) 0,343.

517. Найдите значение выражения:

а) 0,001х2 при х = -2;

б) 1000y3 при у = 0,1;

в) х2у4 при х = 5, у = 2;

г) 3х3y3 при х = -2, у = -5.

518. Найдите значение выражения (—1 )n при n, равном:

    а) 6; б) 11; в) 23; г) 70.

519. Вычислите:

    а) сумму кубов чисел 5 и -3;

    б) куб суммы чисел 9 и -11;

    в) разность квадратов чисел 12 и 8;

    г) квадрат разности чисел 96 и -4;

    д) удвоенное произведение квадратов чисел 7 и -5;

    е) утроенное произведение числа 15 и квадрата числа 4.

520. Не выполняя вычислений, сравните значения выражений:

а) (-0,03)8 и 0;

б) 0 и (-1,25)7;

в) (-1,75)3 и (-0,29)2;

г) 0,986 и 1,026.

521. Что больше и на сколько:

а) 23 или 32;

б) 52 или 25;

в) 2 • 32 или 3 • 23;

г) (11 + 19)2 или 112 + 192?

522. Сравните значения выражений а2 и а3 при а, равном:

    а) -12; б) 0; в) 5.

523. Найдите при х = 1,5 и х = -2 значения выражений:

    а) х2, -х2, (-х)2; б) х3, -х3, (—х)3.

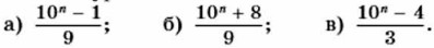
524. Докажите, что при любом натуральном п значение дроби является натуральным числом:

525. Какие из чисел -3, -2, -1, 1, 2, 3 являются корнями уравнения:

а) х4 = 81;

б) х6 = 64;

в) х2 - х = 2;

г) х4 + х3 = 6х2;

д) х3 - 3х2 - 4х + 12 = 0;

е) х3 + 3х2 - х - 3 = 0?

526. Докажите, что не имеет корней уравнение:

    а) х2 + 1 = 0; б) 2х6 + 3х4 + х2 + 1 = 0.

527. При каком значении х значение выражения (2х + 3)2 равно нулю?

528. Докажите, что уравнение х4 + 3х3 + 2х2 + х + 6 = 0 не имеет положительных корней.

529. Имеет ли уравнение х6 - х5 + х4 - х3 + х2 - х +1 = 0 отрицательные корни?

Окончание >>>

 

 

???????@Mail.ru