Главная >> Алгебра 7 класс. Макарычев. ГДЗ

Дополнительные упражнения к главе 3

К параграфу 7 (окончание)

530. Упростите выражение:

    а) а10а12(-а5); б) х(-х)(-х6); в) yky8y2; г) bnbnb3.

531. Представьте выражение в виде степени:

    a) 25 • 8; б) 16 • 64; в) 7n • 343; г) 81 • 3k.

532. Представьте выражение в виде произведения двух множителей, один из которых равен а5; а) а10; б) а6; в) -а40.

533. Замените х степенью с основанием с так, чтобы полученное равенство было тождеством:

    а) с2х = с5; б) xc5 = с9; в) с6х = с11; г) с4х = с15.

534. Замените частное степенью:

    а) b15 : b12; б) 739 : 713; в) а11 : а; г) 12100 : 1299.

535. Найдите значение выражения:

536. Упростите выражение:

    а) 6n + 3 : 6n; б) 10n + 1 : 10n - 1.

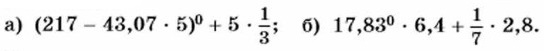
537. Вычислите:

538. Упростите:

    а) (-1)n • (-1)n; б) (-1)2n : (-1)3.

S39. Площадь круга вычисляется по формуле S = πr2, где r — радиус круга. Как изменится площадь круга, если его радиус увеличить в 3 раза? в 7 раз?

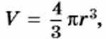
540. Объём шара вычисляется по формуле где r — радиус шара. Как изменится объём шара, если радиус увеличить в 2 раза? в 4 раза?

541. Верно ли при любом значении х равенство:

    а) |х|2 = х2; б) |х|3 = х3?

542. Найдите значение выражения:

543. Сравните значения выражений:

а) 107 и 28 • 57;

б) 612 и 213 • 311;

в) 2525 и 250 • 350;

г) 6330 и 360 • 530.

544. Представьте выражение в виде 3n или - 3n:

    а) (-33)2; б) (-32)3; в) -(34)2; г) -(-32)3.

545. Упростите выражение:

а) (х3)2 • (-х3)4;

б) (y6)7 • (-y4)5;

в) (х7)5 • (-х2)6;

Г) (-с9)4 • (с5)2.

546. Замените букву р выражением так, чтобы полученное равенство было тождеством:

    а) р5 = х20; б) р7 = х21; в) р2с8 = с20; г) у7 • (у2)4 = p5.

547. Представьте в виде степени:

    а) 45 • 221; б) 2513 : 511; в) 85 • 1613; г) 2710 : 915.

548. Представьте выражение в виде хn или -хn:

    а) (-х3)7; б) (-х2)5; в) (-х)4х8; г) (-х5)7 • (х2)3.

549. Сколькими способами можно представить в виде степени с показателем, отличным от 1, число:

    а) 215; б) 26?

550. При каком условии:

    а) сумма квадратов двух чисел равна нулю;

    б) квадрат суммы двух чисел равен нулю?

551. Натуральное число а оканчивается единицей. Какой цифрой оканчивается степень числа а с натуральным показателем? Для каких ещё цифр выполняется аналогичное свойство?

552. Докажите, что при любом натуральном k:

    а) число 34k оканчивается единицей;

    б) число 10k - 1 кратно 3.

<<< К началу      Решенния >>>

 

 

???????@Mail.ru