Главная >> Алгебра 7 класс. Макарычев. ГДЗ

§ 13. Разность квадратов. Сумма и разность кубов

Умножение разности двух выражений на их сумму (продолжение)

857. Представьте в виде многочлена произведение:

    а) (х2 - 5)(х2 + 5);

    б) (4 + y2)(y2 - 4);

    в) (9а - b2)(b2 + 9а);

    г) (0,7х + y2)(0,7х - у2);

    д) (10р2 - 0,3q2)(10р2 + 0,Зq2);

    е) (а3 - b2)(а3 + b2);

    ж) (с4 + d2)(d2 - с4);

    з) (5х2 + 2у3) (5х2 - 2у3);

    и) (1,4с - 0,7р3)(0,7р3 + 1,4с);

    к) (1,3а5 - 0,1b4)(1,3а5 + 0,1b4).

858. Впишите вместо знака * одночлен так, чтобы получилось тождество:

    а) (2а + *)(2а - *) = 4а2 - b2;

    б) (* - 3х)(* + 3х) =16у2 - 9х2;

    в) (* - b4)(b4 + *) = 121а10 - b8;

    г) m4 - 225с10 = (m2 - *)(* + m2).

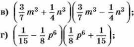
859. Представьте в виде многочлена:

а) (3х2 - 1)(3х2 + 1);

б) (5a - b3)(b3 + 5а);

д) (0,4y3 + 5а2)(5а2 - 0,4y3);

е) (1,2с2 - 7а2) (1,2с2 + 7а2);

860. Найдите значение выражения:

а) (100 - 1)(100 + 1);

б) (80 + 3)(80 - 3);

в) 64 • 56;

г) 201 • 199;

д) 74 • 66;

е) 1002 • 998;

ж) 1,05 • 0,95;

з) 60,1 • 59,9.

861. Найдите значение произведения:

а) 52 • 48;

б) 37 • 43;

в) 6,01 • 5,99;

г) 2,03 • 1,97

д) 17,3 • 16,7;

е) 29,8 • 30,2;

ж) 9,7 • 10,3;

з) 50,2 • 49,8;

и) 4,6 • 5,4.

862. Представьте выражение в виде многочлена, используя соответствующую формулу сокращённого умножения:

а) (-р + х)(х + р);

б) (-а + b)(b - а);

в) (-b - с)(b - с);

г) (х + р)(-х - у);

д) (х - у) (у - х);

е) (-a - b)(-a - b).

863. Представьте в виде многочлена:

а) (-3хр + а)(3хр + а);

б) (-1 - 2a2b)(1 - 2а2b);

в) (12а3 - 7х)(-12а3 - 7х);

г) (-10р4 + 9)(9 - 10р4);

д) (0,2х + 10y)(10y - 0,2х);

е) (1,1р - 0,3)(0,3 + 1,1р).

864. Выполните умножение:

а) (-m2 + 8)(m2 + 8);

б) (5y - y2)(y2 + 5у);

в) (6n2 + 1)(-6a2 + 1);

г) (-7ab - 0,2)(0,2 - 7ab)

865. Найдите наибольшее значение выражения:

866. Найдите наибольшее или наименьшее значение выражения, если такое значение существует:

а) (5а - 0,2) (0,2 + 5а);

б) (12 - 7у)(7у + 12);

в) (13а - 0,3) (0,3 + 13а);

г) (10 - 9m)(9m + 10).

867. Представьте в виде многочлена:

а) 2(х - 3)(х + 3);

б) у(у + 4)(y - 4);

в) 5х(х + 2)(х - 2);

г) -3а(а + 5)(5 - а);

д) (0,5x - 7)(7 + 0,5х)(-4х);

е) -5y(-3y - 4)(3у - 4).

868. Представьте выражение в виде многочлена:

а) (b + а)(b - а)2;

б) (х + y)2(y - х);

в) (а - 4)(а + 4)2;

г) (3р + 1)2(1 - 3р).

<<< К началу      Окончание >>>

 

 

???????@Mail.ru