Главная >> Алгебра 7 класс. Макарычев. ГДЗ

§ 13. Разность квадратов. Сумма и разность кубов

Умножение разности двух выражений на их сумму (окончание)

869. Выполните умножение:

а) (b - 2)(b + 2)(b2 + 4);

б) (3 - y)(3 + y)(9 + y2)

в) (а2 + 1)(а + 1)(а - 1);

г) (с4 + 1)(с2 + 1)(c2 - 1);

д) (x - 3)2(x + 3)2;

е) (у + 4)2(у - 4)2;

ж) (а - 5)2(5 + а)2;

з) (с + 4)2(4 - с)2.

870. Упростите выражение:

    а) (0,8x + 15)(0,8x - 15) + 0,36x2;

    б) 5b2 + (3 - 2b) (3 + 2b);

    в) 2x2 - (x + 1)(x - 1);

    г) (3а - 1)(3а + 1)- 17а2;

    д) 100х2 - (5х-4)(4 + 5х);

    е) 22с2 + (-3с - 7) (3с - 7).

871. Упростите:

а) (х - у)(х+ y)(х2 + у2);

б) (2а + b) (4а2 + b2)(2a - b);

В) (c3 + b)(c3 - b) (c6 + b2);

г) (3m - 2)(3m + 2) + 4;

д) 25n2 - (7 + 5n)(7 - 5n);

е) 6х2 - (х - 0,5)(х + 0,5).

872. Докажите, что квадрат любого целого числа на единицу больше произведения предыдущего и последующего целых чисел.

873. Упростите выражение:

    а) (x - 2)(x + 2) - x(x + 5);

    б) m(m - 4) + (3 - m)(3 + m);

    в) (4x - а)(4x + а) + 2x(x - а);

    г) 2а(а + b) - (2а + b)(2a - b);

    д) (5а - 3с)(5а + 3с) - (7с - а)(7с + а);

    е) (4b + 10с)(10с - 4b) + (-5с + 2b)(5с + 2b);

    ж) (3x - 4у)2 - (3x - 4р)(3х + 4y);

    з) (2а + 6b) (6b - 2а) - (2а + 6b)2.

874. (Для работы в парах.) Докажите, что сумма произведения трёх последовательных целых чисел и среднего из них равна кубу среднего числа.

1) Проверьте утверждение на примере чисел 19, 20, 21.

2) Составьте выражение, обозначив через р одно из этих чисел, и выполните преобразование составленного выражения. Одному учащемуся рекомендуем обозначить через р наименьшее из чисел, а другому — среднее из чисел.

3) Проверьте друг у друга правильность преобразований и сравните их сложность.

875. Упростите выражение:

    а) 5а (а - 8) - 3(а + 2) (а - 2);

    б) (1 - 4b)(4b + 1) + 6b(b - 2);

    в) (8р - q)(q + 8p) - (р + q)(p - q);

    г) (2х - 7у)(2х + 7у) + (2х - 7у)(7у - 2х).

876. Решите уравнение:

    а) 8m(1 + 2m) - (4m + 3)(4m - 3) = 2m;

    б) х - 3х(1 - 12х) = 11 - (5 - 6х)(6х + 5).

877. Найдите корень уравнения:

    а) (6х - 1)(6jc + 1) - 4х(9х + 2) = -1;

    б) (8 - 9а)а = -40 + (6 - 3а)(6 + 3а).

Упражнения для повторения

878. Представьте выражение в виде квадрата двучлена:

    а) 1 - 4ху + 4х2у2;

879. Докажите тождество:

    а) (а + b)2 - 4ab = (а - b)2;

    б) (а - b)2 + 4ab = (а + b)2;

    в) (х + 3)3 + (х - 3)3 = 2х3 + 54х.

880. Разложите на множители:

а) 20bс2 - 3ab2c + 4а2bс;

б) 12а2ху3 - баху5;

в) -15аm3n4 - 20аm4n6;

г) -28b4c5y + 16b5c6y8.

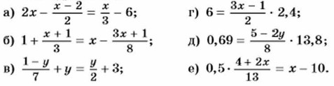
881. Решите уравнение:

882. Со станций М и N, расстояние между которыми 380 км, одновременно навстречу друг другу вышли два поезда. Скорость поезда, отправившегося со станции N, была больше скорости другого поезда на 5 км/ч. Через 2 ч после отправления поездам оставалось пройти до встречи 30 км. Найдите скорость поездов.

<<< К началу      Решенния >>>

 

 

???????@Mail.ru