Главная >> Домашние работы к учебнику Макарычева. Алгебра 7 класс

Домашние работы

Умножение разности двух выражений на их сумму (окончание)

868. а) (b + a)(b - a)2 = (b + a)(b - a)(b - a) = (b2 - a2)(b - a) - b3 - ab2 - a2b + а3; б) (x + p)2 • (у - x) = (x + p)(x + y)(y - x) = (x + y)(y2 - x2) = xy2 - x3 + y3 - yx2; в) (a - 4) (a + 4)2 = (a - 4)(a + 4)(a + 4) = (a2 - 16) (a + 4) = a3 + 4a2 - 16a - 64; г) (3p + 1)2 • (1 - 3p) = (3p + 1)(3p + 1)(1 - 3p) = (1 - 9p2)(3p + 1) = 3р +1 — 27p3 - 9p2.

869. a) (b - 2)(b + 2)(b2 + 4) = (b2 - 4)(b2 + 4) = b4 -16; б) (3 - y)(3 + y)(9 + y2) = (9 - y2)(9 + y2) = 81 - y4; в) (a2 + 1)(a + 1)(a - 1) = (a2 + 1)(a2 - 1) = a4 - 1; г) (c4 + 1)(c2 + 1)(c2 - 1) = (c4 + 1)(c4 - 1) = c8 - 1; д) (x - 3)2(x + 3)2 = ((x - 3)(x + 3))2 = (x2 - 9)2 = x4 - 18x2 + 81; e) (y + 4)2(y - 4)2 = ((y + 4)(y -4))2 = (y2 - 16)2 = y4 - 32y2 + 256; ж) (a - 5)2(5 + a)2 = ((a - 5)(5 + a))2 = (a2 - 25)2 = a4 - 50a2 + 625; з) (c + 4)2(4 - c)2 = ((c + 4)(4 - c))2 = (16 - c2)2 = 256 - 32c2 + c4.

870. a) (0,8x + 15)(0,8x - 15) + 0,36x2 = 0,64x2 - 225 + 0,36x2 = x2 - 225; 6) 5b2 + (3 - 2b)(3 + 2b) = 5b2 + 9 - 4b2 = b2 + 9; в) 2x2 - (x + 1)(x - 1) = 2x2 - x2 + 1 = x2 + 1; г) (3a - 1)(3a + 1)-17a2 = 9a2 + 17a2 = -8a2 - 1; д) 100x2 - (5x - 4)(4 + 5x) = 100x2 - 25x2 + 16 = 75x2 + 16; e) 22c2 + (-3c - 7)(3c - 7) =22c2 - (3c + 7)(3c - 7) = 22c2 - 9c2 + 49 = 13c2 + 49.

871. a) (x - y)(x + y)(x2 + y2) = (x2 - y2)(x2 + y2) = x4 - y4; 6) (2a + b)(4a2 + b2)(2a - b) = (4a2 + b2)(4a2 - b2) = 16a4 -b4; в) (c3 + b)(c3 - b)(c6 + b2) = (c6 - b2)(c6 + b2) = c12 - b4; г) (3m - 2)(3m+ 2) + 4 = 9m2 - 4 + 4 = 9m2; д) 25n2 - (7 + 5n) (7 - 5n) = 25n2 - (49 - 25n2) = 50n2 - 49; e) 6x2 - (x - 0,5)(x + 0,5) = 6x2 - (x2 - 0,25) = 5x2 + 0,25.

872. (x - 1)(x + 1) = x2 - 1 < x2.

873. а) (х — 2){х + 2) - х • (х + 5) = х2 - 4 - х2 - 5х = -4 - 5х; б) m • (m - 4) + (3 - m)(3 + m) = m2 - 4m + 9 - m2 = 9 - 4m; в) (4х - а) (4x + а) + 2х • (х - а) - 16x2 - а2 + 2x2 - 2xа = 18x2 - а2 - 2ха; г) 2а - (а + b) - (2а + b)(2а - b) = 2а2 + 2аb - 4а2 + b2 = -2а2 + 2аb + b2; д) (5а - 3с)(5а + 3с) - (7с - а) (7с + а) = 25а2 - 9с2 - 49с2 + а2 = 26а2 - 58с2; е) (4b + 10с)(10с - 4b) + (-5с + 2b)(5с + 2b) = 100с2 - 16b2 +4b2 - 25с2 = 75с2 -12b2; ж) (3x - 4у)2 - (3x - 4у)(3x + 4у) = 9x2 - 24 ху + 16у2 - 9х2 + 16у2 = 32у2 - 24ху, з) (2а + 6b)(6b - 2а) - (2а + 6b)2 = 36b2 - 4а2 - 4а2 - 36b2 - 24аb = -8а2 - 24аb.

874. 1) (19 • 20 • 21) + 20 = 7980 + 20 = 8000 = 203; 2) пусть р — среднее число, тогда (р - 1) • р • (р + 1) + р = р • ((р- 1)(р + 1) + 1) = р • (р2 - 1 + 1) = р3; пусть р — наименьшее число, тогда р • (р + 1)(р + 2) + р + 1 = (р + 1 )(р • (р + 2) + 1) = (р + 1)(р2 + 2р + 1) = (p + 1)3.

875. а) 5а • (а - 8) - 3 • (а + 2)(а - 2) = 5а2 — 40а - 3а2 + 12 = 2а2 - 40а + 12; б) (1 - 4b)(4b + 1) + 6b • (b - 2) = 1 - 16b2 + 6b2 - 12b = 1 - 10b2 - 12b; в) (8р - q)(q + 8р) - (р + q)(p - q) = (64р2 - q2) - (р2 - q2) = 63р2; г) (2х - 7у)(2х + 7у) + (2x - 7у)(7у - 2х) = 4x2 - 49у2 - (2x - 7 у)2 - 4х2 - 49у2 - 4х2 + 28ху - 49у2 = -98у2 + 28 ху.

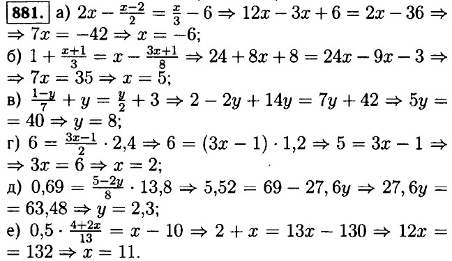
876. а) 8m • (1 + 2m) - (4m + 3)(4m - 3) = 2m ⇒ 8m + 16m2 - (16m2 - 9) = 2m ⇒ 6m + 9 = 0 ⇒ 6m = -9 ⇒ m = -1,5; б) х - 3х • (1 - 12x) = 11 - (5 - 6x) (6x + 5) ⇒ х - 3x + 36х2 = 11 - (25 - 36x2) ⇒ -2x + 36х2 - 36x2 = 11 - 25 ⇒ -2х = -14 ⇒ х = 7.

877. а) (6x - 1)(6х + 1) - 4х • (9х + 2) = -1 ⇒ 36x2 - 1 - 36x2 - 8x = -1 ⇒ -8х = 0 ⇒ х - 0;

б) (8 - 9а)а = -40 + (6 - 3а)(6 + 3а) ⇒ 8а - 9а2 = -40 + 36 - 9а2 ⇒ 8а = -4 ⇒ а = -0,5.

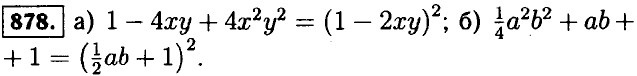
879. а) (а + b)2 - 4аb = а2 + 2аb + b2 - 4аb = a2 - 2ab + b2 = (а - b)2; б) (а - b)2 + 4аb = а2 - 2аb + b2 + 4аb = а2 + 2b + b2 = (а + b)2; в) (х + 3)3 + (х - 3)3 = х3 + 9х2 + 27х + 27 + х3 - 9х2 + 27х - 27 = 2х3 + 54х.

880. а) 2abс2 - 3аb2с + 4а2bс = abc • (2с - 3b + 4а); б) 12а2ху3 - 6аху5 = 6аху3 • (2а - у2); в) -15аm3n4 - 20аm4n6 = -5аm3n4 • (3 + 4mn2); г) -28b4с5у + 16b5с6у8 = -4b4с5у • (7 - 4bсу7).

882. Пусть скорость поезда отправившегося со станции М равняется х, тогда скорость поезда отправившегося со станции N равняется х + 5. За 2 ч поезда прошли путь равный 380 - 30 = 350 км. Значит (х + х + 5) • 2 = 350 ⇒ 2х + 5 = 175 ⇒ 2х = 170 ⇒ x = 85 ⇒ x + 5 = 90. Ответ: 85 км/ч и 90 км/ч.

<<< К началу

 

 

???????@Mail.ru