Главная >> Алгебра 7 класс. Макарычев. ГДЗ

§ 13. Разность квадратов. Сумма и разность кубов

Разложение разности квадратов на множители

В тождестве (а - b)(а + b) = а2 - b2 поменяем местами правую и левую части. Получим

    а2 - b2 = (а - b)(а + b).

Это тождество называют формулой разности квадратов. Её применяют для разложения на множители разности квадратов любых двух выражений:

разность квадратов двух выражений равна произведению разности зтих выражений и их суммы.

Приведём примеры применения формулы разности квадратов.

Пример 1. Разложим на множители выражение 36 -а2.

Так как 36 = 62, то

    36 - а2 = 62 - а2 = (6 - а) (6 + а).

Пример 2. Представим в виде произведения двучлен 49х2 - 16у6.

Данный двучлен можно представить в виде разности квадратов.

Получим

    49х2 - 16у6 = (7х)2 - (4у3)2 = (7х - 4у3)(7х + 4у3).

Упражнения

883. Разложите на множители многочлен:

а) х2 - у2;

б) с2 - z2;

в) а2 - 25;

г) m2 - 1;

д) 16 - b2;

е) 100 - x2;

ж) р2- 400;

з) у2 - 0,09;

и) 1,44 - а2;

884. Разложите на множители:

а) 25х2 - у2;

б) -m2 + 16n2;

в) 36а2 - 49;

г) 64 - 25х2;

д) 9m2 - 16n2;

е) 64р2 - 81q2;

-49а2 + 16b2;

з) 0,01n2 - 4m2;

и) 9 - b2с2;

к) 4а2b2 - 1;

л) р2 - а2b2;

м) 16c2d2 - 9а2.

885. Представьте в виде произведения:

а) х2 - 64;

б) 0,16 - с2;

в) 121 - m2;

г) -81 + 25у2;

д) 144b2 - с2;

е) 0,64х2 - 0,49y2;

ж) х2y2 - 0,25;

з) с2d2 - а2;

и) а2х2 - 4у2.

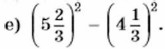
886. Вычислите:

а) 472 - 372;

б) 532 - 632;

в) 1262 - 742;

г) 21,32 - 21,22;

д) 0,8492 - 0,1512;

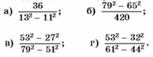
887. Найдите значение дроби:

888. Найдите значение выражения:

а) 412 — 312;

б) 762 - 242;

в) 2562 - 1562;

г) 0,7832 - 0,2172;

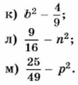
889. Разложите на множители:

а) х4 - 9;

б) 25- n6;

в) m8 - а2;

г) у2 - р4;

д) с6 - d6;

е) х6 - а4;

ж) b4 - y10;

з) m8 - n6;

и) а4 - b4;

к) с8 - d8;

л) а4 - 16;

м) 81 - b4.

890. Решите уравнение:

а) х2 - 16 = 0;

б) у2 - 81 = 0;

г) а2 - 0,25 = 0;

д) b2 + 36 = 0;

е) х2 - 1 = 0;

ж) 4х2 - 9 = 0;

з) 25х2 - 16 = 0;

и) 81х2 + 4 = 0.

Окончание >>>

 

 

???????@Mail.ru