Главная >> Алгебра 7 класс. Макарычев. ГДЗ

Дополнительные упражнения к главе 5

К параграфу 13

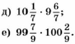
971. Вычислите:

а) 1005 • 995;

б) 108 • 92;

в) 0,94 • 1,06;

г) 1,09 • 0,91;

972. Представьте в виде многочлена:

    а) 5у (у2 - 3)(у2 + 3);

    б) -8х(4х - х3)(4х + x3);

    в) (а4 - 3)(а4 + 3)(а8 + 9);

    г) (1 - b3)(1 + b3)(1 + b6).

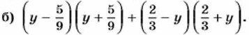
973. Упростите выражение:

    а) (а + 2)(а - 2) - а (а - 5);

    б) (а - 3)(3 + а) + а (7 - а);

    в) (b - 4)(b + 4) - (b - 3)(b + 5);

    г) (b + 8)(b - 6) - (b - 7)(b + 7);

    д) (с - 1)(с + 1) + (с - 9)(с + 9);

    е) (5 + с)(с - 5) - (с - 10)(с + 10).

974. Докажите, что значение выражения не зависит от значения переменной:

    а) (х - 8)(х + 8) - (х - 12)(x + 12);

975. Преобразуйте в многочлен:

    а) (х - 5)2 + 2х(х - 3);

    б) (у + 8)2 - 4y(y - 2);

    в) (a - 4)(а + 4) + (2а - 1)2;

    г) (b - 3)(b + 3) - (b + 2)2;

    д) (2а -5)2 - (5а - 2)2;

    е) (3b - 1)2 + (1 - 3b)2;

    ж) (2х + 1)2 - (х + 7)(х - 3);

    з) (3у -2)2 - (y - 9)(9 - y).

976. При каком значении х удвоенное произведение двучленов х + 2 и х - 2 меньше суммы их квадратов на 16?

977. Представьте в виде многочлена:

    а) (х + у + 1)(х + у - 1);

    б) (m + n - 3)(m + n + 3);

    в) (а - b - 5)(а - b + 5);

    г) (с - d + 8)(с - d - 8);

    д) (р + 2q - 3)(р - 2q - 3);

    е) (а - 3х + 6)(а + 3х + 6).

978. Решите уравнение:

    а) (х - 7)2 + 3 = (х - 2)(х + 2);

    б) (х + 6)2 - (х - 5)(х + 5) = 79;

    в) (2х - 3)2 - (7 - 2х)2 = 2;

    г) (5х - 1)2 - (1 - 3х)2 = 16х(х - 3).

Окончание >>>

 

 

???????@Mail.ru