Главная >> Алгебра 7 класс. Макарычев. ГДЗ

Дополнительные упражнения к главе 5

К параграфу 13 (окончание)

979. Разложите на множители:

а) 1 - а2b2;

б) 4х2y4 - 9;

в) 0,09х6 - 0,49у2;

г) 1,21а2 - 0,36b6;

е) 0,01a2b4 - 1.

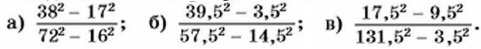
980. Найдите значение выражения:

981. Представьте в виде произведения:

а) х10 - 1;

б) y12 - 16;

в) а2х8 - 81;

г) 36 - b4у6;

д) 25р4q4 - 1;

е) -9 + 121m8n8;

ж) 0,01х16 - 0,16;

з) 1,69y14 - 1,21;

982. Разложите на множители:

а) (х - 5)2 - 16;

б) (b + 7)2 - 9;

в) 25 - (3 - х)2;

г) 81 - (а + 7)2;

д) (7х - 4)2 - (2х + 1)2;

е) (n - 2)2 - (3n + 1)2;

ж) 9(а + 1)2 - 1;

з) 4 - 25 (х - 3)2.

983. Преобразуйте в произведение:

а) 16 - 9(р + 3)2;

б) 9 - 25(4 - х)2;

в) 1 - 36(3у - 1)2;

г) 4 - 9(а + b)2.

984. Докажите, что при любом натуральном n значение выражения:

    а) (n + 1)2 - (n - 1)2 делится на 4;

    б) (2n + 3)2 - (2n - 1)2 делится на 8;

    в) (3л + 1)2 - (3n - 1)2 делится на 12;

    г) (5n + 1)2 - (2n - 1)2 делится на 7.

985. Найдите значение выражения:

    а) (3а - 2b)2 - (2а - b)2 при а = 1,35 и b = -0,65;

    б) (2у - с)2 + (у + 2с)2 при с = 1,2 и у = -1,4.

986. Разложите на множители:

а) 0,027х3 +1;

б) у6 - 0,001х3;

в) d3 + 0,008с3;

г) 125 - 0,064р3.

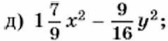
987. Представьте в виде произведения:

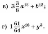
988. Докажите, что значение выражения:

    а) 413 + 193 делится на 60;

    б) 793 - 293 делится на 50;

    в) 663 + 343 делится на 400;

    г) 543 - 243 делится на 1080.

989. Представьте в виде произведения:

а) (х + 1)3 + х3;

б) (у - 2)3 - 27;

в) (а - b)3 + b3;

г) 8х3 + (х - у)3;

д) 27а3 - (а - b)3;

е) 1000 + (b - 8)3.

<<< К началу      Решенния >>>

 

 

???????@Mail.ru