Главная >> Домашние работы к учебнику Макарычева. Алгебра 7 класс

Решенния упражнений

Дополнительные упражнения к параграфу 13

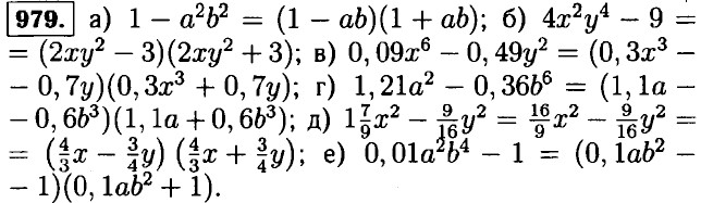
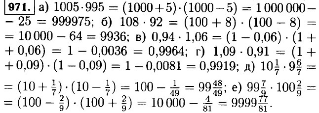
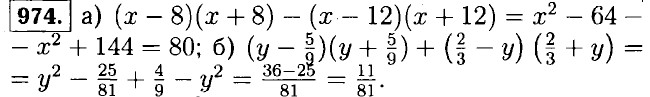
972. a) 5у • (у2 - 3)(y2 + 3) = 5у • (у4 - 9) = 5y5 - 45у; б) -8х • (4х - х3)(4х + х3) = -8х • (16x2 - x6) = 8х7 - 128x3; в) (а4 - 3)(а4 + 3)(а8 + 9) = (а8 - 9) (а8 + 9) = а16 - 81; г) (1 - b3)(1 + b3)(1 + b6) = (1 - b6)(1 + b6) = 1 - b12.

973. а) (а + 2)(а - 2) - а • (а - 5) - а2 - 4 - а2 + 5а = 5а - 4; б) (а - 3)(3 + а) + а • (7 - а) = а2 - 9 + 7а - а2 = 7а - 9; в) (b - 4)(b + 4) - (b - 3)(b + 5) = b2 - 16 - b2 - 5b + 3b + 15 = -2b - 1; г) (b + 8)(b - 6) - (b - 7)(b + 7) = b2 - 6b + 8b - 48 - b2 + 49 = 2b + 1; д) (с - 1)(с + 1) + (с - 9)(с + 9) = с2 - 1 + с2 - 81 = 2с2 - 82; е) (5 + с)(с - 5) - (с - 10)(с + 10) = с2 - 25 - с2 + 100 = 75.

975. а) (х - 5)2 + 2х • (х - 3) = х2 -10х + 25 + 2x2 - 6х = 3х2 - 16х + 25; б) (у + 8)2 - 4у • (у - 2) = у2 + 16у + 64 - 4у2 + 8у = -3у2 + 24у + 64; в) (а - 4)(а + 4) + (2а - 1)2 = а2 - 16 + 4а2 - 4а + 1 = 5а2 - 4а - 15; г) (6 - 3)(6 + 3) - (b + 2)2 = b2 - 9 - b2 - 4b - 4 = -4b - 13; д) (2а - 5)2 - (5а - 2)2 = 4а2 - 20а + 25 - 25а2 + 20а - 4 = -21а2 + 21; е) (3b - 1)2 + (1 - 3b)2 = 2(3b - 1)2 - 18b2 - 12b + 2; ж) (2х + 1)2 - (х + 7)(х - 3) = 4х2 + 4х + 1 - х2 + 3х - 7х + 21 = 3х2 + 22; з) (3у - 2)2 - (у - 9)(9 - у) = (3у - 2)2 + (у - 9)2 = 9у2 - 12 у + 4 + у2 - 18у + 81 = 10у2 - 30у + 85.

976. 2 • (х + 2)(х - 2) + 16 - (х + 2)2 + (х - 2)2 ⇒ 2х2 - 8 +16 = х2 + 4х + 4 + х2 - 4х + 4 ⇒ 2х2 + 8 = 2х2 + 8 — равенство выполняется при любом х.

977. а) (х + у + 1)(х + у - 1) = (х + у)2 - 1 = х2 + 2ху + у2 - 1; б) (m + n - 3)(m + n + 3) = (m + n) - 9 = m2 + 2mп + n2 - 9; в) (a - b - 5)(a - b + 5) = (a - b)2 - 25 = a2 - 2ab + b2 - 25; г) (c - d + 8)(c - d - 8) = (c - d)2 - 64 = c2 - 2cd + d2 - 64; д) (p + 2q - 3)(p - 2q - 3) = (p - 3)2 - 4q2 = p2 - 6p + 9 - 4q2; e) (a - 3x + b)(a + 3x + b) = (a + b)2 - 9x2 = a2 + 12a + + 36 - 9x2.

978. а) (x - 7)2 + 3 = (x - 2)(x + 2) ⇒ x2 - 14x + 49 + 3 = x2 - 4 ⇒ 14x = 56 ⇒ x = 4;

6) (x + 6)2 - (x - 5)(x + 5) = 79 ⇒ x2 + 12x + 36 - x2 + 25 = 79 ⇒ 12x = 18 ⇒ x = 1,5;

в) (2x - 3)2 - (7 - 2x)2 = 2 ⇒ 4x2 - 12x + 9 - 49 + 28x - 4x2 = 2 ⇒ 16x = 42 = x =

г) (5x - 1)2 - (1 - 3x)2 = 16x • (x - 3) ⇒ 25x2 - 10x + 1 - 1 + 6x - 9x2 = 16x2 - 48x ⇒ 44x = 0 ⇒ x = 0.

<<< К началу   Решенния (окончание) >>>

 

 

???????@Mail.ru