Главная >> Алгебра 7 класс. Макарычев. ГДЗ

§ 15. Линейные уравнения с двумя переменными и их системы

Системы линейных уравнений с двумя переменными (продолжение)

Рассмотрим системы двух линейных уравнений с двумя переменными, в каждом из которых хотя бы один из коэффициентов при переменных отличен от нуля. Выясним, всегда ли такая система имеет решения и если имеет, то сколько. Графиками уравнений системы являются прямые. Если эти прямые пересекаются, то система имеет единственное решение; если прямые параллельны, то система не имеет решений; если прямые совпадают, то решений бесконечно много.

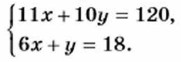
Пример 1. Выясним, сколько решений имеет система уравнений

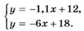
Рассмотрим, каково взаимное расположение графиков уравнений данной системы. Для этого выразим из каждого уравнения у через *, получим

Уравнениями у = -1,1x + 12 и у = -6x + 18 задаются линейные функции. Угловые коэффициенты прямых, являющихся графиками этих функций, различны.

Значит, эти прямые пересекаются и система имеет единственное решение.

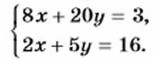
Пример 2. Рассмотрим, сколько решений имеет система уравнений

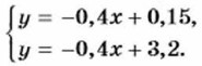
Из каждого уравнения системы выразим у через x:

Прямые, являющиеся графиками линейных функций

    у = -0,4x + 0,15 и у = -0,4x + 3,2,

параллельны, так как их угловые коэффициенты одинаковы, а точки пересечения с осью у различны.

Отсюда следует, что данная система уравнений не имеет решений.

Пример 3. Выясним, сколько решений имеет система уравнений

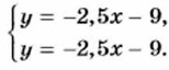
Выразив из каждого уравнения системы у через *, получим

Очевидно, что графики уравнений совпадают. Это означает, что любая пара чисел (x0; y0), в которой x0 — произвольное число, а у0 = -2,5x0 - 9, является решением системы.

Система имеет бесконечно много решений.

Упражнения

1056. Является ли решением системы уравнений пара чисел:

    а) x = 3, у - 1; б) x = 2, у = 2?

1057. Является ли пара чисел u = 3, υ = - 1 решением системы уравнений:

<<< К началу      Окончание >>>

 

 

???????@Mail.ru