Главная >> Алгебра 7 класс. Макарычев. ГДЗ

§ 15. Линейные уравнения с двумя переменными и их системы

Системы линейных уравнений с двумя переменными (окончание)

1058. Какие из нар (-3; 4), (-2; -6), (-4; 3) являются решениями системы уравнений:

1059. Составьте какую-либо систему линейных уравнений с переменными хну, решением которой служит пара:

    а) х = 4, у = 1; б) х = 0, у = 3.

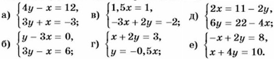
1060. Решите графически систему линейных уравнений:

1061. Решите графически систему уравнений:

1062. Выясните, имеет ли система решения и сколько:

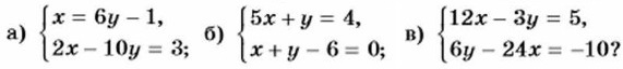
1063. (Для работы в парах.) Имеет ли решения система уравнений и сколько:

1) Обсудите друг с другом, от чего зависит ответ на вопрос задачи.

2) Выполните совместно задание а).

3) Распределите, кто выполняет задание б), а кто — задание в), и выполните их.

4) Проверьте друг у друга правильность выполнения заданий и исправьте ошибки, если они допущены.

1064. Укажите какие-нибудь три решения системы уравнений:

Упражнения для повторения

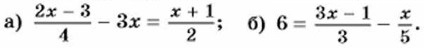
1065. Решите уравнение:

1066. Представьте в виде многочлена:

    а) (5с2 - с + 8) (2с - 3) - 16;

    б) 18m3 - (3m - 4) (6m2 + m - 2).

1067. Разложите на множители:

    а) а3 + а2 - х2а - х2; б) b3 + b2с -9b - 9с.

Контрольные вопросы и задания

1. Дайте определение линейного уравнения с двумя переменными. Приведите пример.

2. Что называется решением уравнения с двумя переменными? Является ли пара значений переменных х = 7, у = 3 решением уравнения 2х + у = 17?

3. Что является графиком уравнения ах + bу = с с переменными х и у, где а ≠ 0 или b ≠ 0?

4. Что называется решением системы уравнений с двумя переменными? Что значит решить систему уравнений?

5. Сколько решений может иметь система двух линейных уравнений с двумя переменными?

<<< К началу      Решенния >>>

 

 

???????@Mail.ru