Главная >> Решенния упражнений к учебнику Макарычева. Алгебра 7 класс

Домашние работы

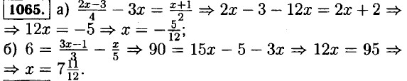
Системы линейных уравнений с двумя переменными

1066. а) (5с2 - с + 8) (2с - 3) - 16 = 10с3 - 15с2 - 2с2 + 3с + 16с - 24 - 16 = 10с3 - 17с2 + 19с - 40; б) 18m3 - (3m - 4) (6m2 + m - 2) = 18m3 - 18m3 - 3m2 + 6m + 24m2 + 4m - 8 = 21m2 + 10m - 8.

1067. а) а3 + а2 - х2а - х2 = а2 • (а + 1) - х2 • (а + 1) = (а2 - х2)(а + 1) = (а - х)(а + х)(а + 1); 6) b3 + b2c - 9b - 9c = b2 • (b + c) - 9 • (b + c) - (b2 - 9)(b + c) = (b - 3)(b + 3)(b + c).

<<< К началу

 

 

???????@Mail.ru