Главная >> Алгебра 7 класс Мордкович

Глава 5. Одночлены. Арифметические операции над одночленами

§ 22. Умножение одночленов. Возведение одночлена в натуральную степень (окончание)

Р е ш е н и е.

а) 32а5 = 25а5 = (2а)5. Значит, А = В5, где В = 2а.

б) a3b6 = a3(b2)3 = (ab2)3. Следовательно, А = В3, где В = ab2.

в) Так как 49a2b4c6 = 72a2(b2)2(c3)2 = (7ab2c3)2, то А = В2, где В = 7аb2с3.

г) Поскольку -27а3b9 = (-3)3a3(b3)3 = (-3ab3)3, заключаем, что А = В3, где В = -3ab3.

д) С одночленом 16а8b5 у нас ничего не получится. Почему? Давайте рассуждать. Если бы не было множителя Ь5, то задача решалась бы без труда: 16а8 = 242)4 = (2а2)4; если бы вместо b5 был множитель, например, b12, то мы решили бы задачу так:

    16a8b12 = 242)4(b3)4 = (2а2b3)4.

Однако множитель b5 нельзя представить в виде (bk)4, где k — натуральное число; этот множитель, как говорится, «портит всё дело». Значит, одночлен 16а8b5 нельзя представить в виде В4, где В — некоторый одночлен.

Пример показывает, что в математике далеко не всё получается, не любая задача имеет решение (как и в реальной жизни).

Кстати, если математику предлагают решить задачу, которая явно не имеет решения, то он говорит: «Задача поставлена некорректно» или «Это — некорректная задача». Тот, кто предложил некорректную задачу, должен извиниться. Вот и автор извиняется за пример 4д). Хотя согласитесь, что он был дан не без пользы.

Раз уж мы заговорили о корректных и некорректных задачах, приведём ещё несколько примеров и тех и других, а вы попытайтесь объяснить, почему задача корректна или некорректна.

Корректные задачи

1. Упростить 2аb2 • (3аb)3.

2. Упростить 7ab + 8ab + ab.

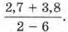
3. Вычислить

4. Представить одночлен 13а4b5 в виде суммы одночленов.

5. Представить одночлен 48x3y5z в виде произведения одночленов.

6. Представить одночлен А = 25а4 в виде квадрата некоторого одночлена В.

Некорректные задачи

1. Сложить одночлены 3ab2, 5ab2 и 7а2b.

2. Вычислить

3. Представить одночлен А в виде квадрата некоторого одночлена В, если А = -25а4.

4. Найти точку пересечения прямых у = -3х + 1 и у = -3x + 5 (см. пример 16) в §10 на с. 61).

1. Как перемножить два одночлена? Приведите пример.

2. Используя переменные р, q и r, составьте одночлен с коэффициентом 144 и представьте его в виде произведения одночленов несколькими способами.

3. Как возвести одночлен в натуральную степень? Приведите пример.

4. Представьте одночлен 16а4b6 в виде произведения двух одночленов; в виде степени одночлена.

<<< К началу

 

 

???????@Mail.ru