Главная >> Алгебра 7 класс Мордкович

Глава 5. Одночлены. Арифметические операции над одночленами

§ 22. Умножение одночленов. Возведение одночлена в натуральную степень

В § 21 мы рассматривали сложение и вычитание одночленов. Оказалось, что эти операции применимы только к подобным одночленам. А как обстоит дело с умножением одночленов? Очень просто: если между двумя одночленами поставить знак умножения, то снова получится одночлен; остаётся лишь привести его к стандартному виду (фактически это мы уже делали в примере из § 20). Не вызывает затруднений и возведение одночлена в степень. При этом используются правила действий со степенями (фактически в примере 3 из § 18 мы уже возводили одночлен в степень, см. с. 94).

Все правила действий над буквенными выражениями определяются таким образом, чтобы не менялись значения этих выражений при любой подстановке допустимых значений переменных.

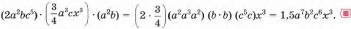
Пример 1. Найти произведение трёх одночленов: 2а25, и а2b.

Р е ш е н и е.

Пример 2. Упростить выражение (-2а23)5 (т. е. представить его в виде одночлена).

Решение.

    (-2а23)5 = -25(a2)5b5(c3)5 = -32a10b5c15.

Мы использовали, во-первых, то, что при возведении произведения в степень надо возвести в эту степень каждый множитель. Поэтому у нас появилась запись 252)5b53)5.

Во-вторых, мы воспользовались тем, что (-2)5 = -25.

В-третьих, мы использовали то, что при возведении степени в степень показатели перемножаются. Поэтому вместо (а2)5 мы написали а10, а вместо (с3)5 мы написали с15.

Пример 3. Представить одночлен 36а2b4с5 в виде произведения одночленов.

Р е ш е н и е.

Здесь, как и в примере 2 из § 21, решение не единственное. Вот несколько вариантов решения:

    36a2b4c5 = (18a2) • (2b4c5);
    36a2b4c5 = (36abc) • (ab3c4);
    36a2b4c5 = (-3b4) • (-12a2c5);
    36a2b4c5 = (2a2) • (3bc) • (6b3c4).

Попробуйте сами придумать ещё несколько решений примера 3.

Пример 4. Представить данный одночлен А в виде Вn, где В — одночлен, если:

    а) А = 32а5, n = 5;
    б) А = а3b6, n = 3;
    в) А = 49а2b4c6, n = 2;
    г) А = -27а3b9, n = 3;
    д) А = 16а8b5, n = 4.

Окончание >>>

 

 

???????@Mail.ru