Главная >> Алгебра. 8 класс. Макарычев

§ 6. Свойства арифметического квадратного корня

Квадратный корень из произведения и дроби (продолжение)

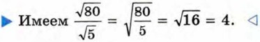
Пример 3. Найдём значение выражения

По теореме о корне из дроби имеем

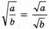
Поменяв в тождествах √ab = √а • √b и местами их левые и правые части, получим

Этими тождествами пользуются при умножении и делении арифметических квадратных корней.

Пример 4. Найдём значение произведения √20 • √5.

Пример 5. Найдём значение частного

Упражнения

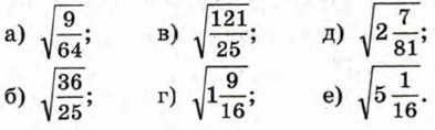
369. Найдите значение выражения:

370. Вычислите значение корня:

371. Найдите значение корня:

372. Найдите значение выражения:

373. Найдите значение корня:

374. Вычислите значение корня:

375. Найдите значение выражения:

376. Вычислите значение выражения:

377. Извлеките корень:

378. Представьте выражение в виде произведения корней:

    a) √15; б) √21; в) √7a; г) √3c.

379. Представьте выражение в виде частного корней:

<<< К началу          Ответы >>>

 

 

???????@Mail.ru