Главная >> Алгебра. 8 класс. Макарычев

§ 6. Свойства арифметического квадратного корня

Квадратный корень из произведения и дроби: Ответы

380. Докажите, что при любом неотрицательном а:

381. Укажите натуральные значения n, при которых является натуральным числом.

382. Используя приближённое равенство √75 ≈ 8,7, найдите приближённое значение выражения:

383. Используя свойства квадратного корня, найдите с помощью таблицы квадратов, помещённой на форзаце учебника, значение выражения:

384. Найдите значение выражения:

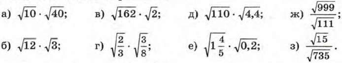
385. Найдите значение произведения:

386. Найдите значение частного:

387. Найдите значение выражения:

388. Значение выражения √2 • √3 с помощью калькулятора можно вычислить двумя способами: найти значения √2 и √3 и результаты перемножить или заменить произведение √2 • √3 выражением √6 и затем найти его значение. Каким из этих способов удобнее пользоваться? Выполните вычисления.

Упражнения для повторения

389. Найдите значение выражения √x2, если х = -4; -3; 0; 9; 20.
При каких значениях х выражение √х2 имеет смысл?

390. Представьте в виде квадрата некоторого выражения:

391. Основанием прямоугольного параллелепипеда является квадрат со стороной а см, высота параллелепипеда равна b см, а его объём равен V см3. Выразите переменную а через b и V.

392. Решите уравнение:

Ответы

    372. а) 12; б) 0,0033;

    373. а) 9; б) 0,24;

    374. а) 180; б) 50; в) 48; г) 28; д) 30; е) 6; ж) 24; з) 2,6.

    375. а) 60; б) 60; в) 42; г) 32.

    376. д) 12; е) 12.

    377. д) 6;

    383. д) 4,5; е) 3,1; ж) 0,22; з) 0,58.

    384. в) 0,27; г) 3,9.

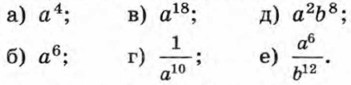
    385. ж) 15; з) 2.

    392. а) 130; б) 7.

<<< К началу

 

 

???????@Mail.ru