Главная >> Алгебра. 8 класс. Макарычев

§ 7. Применение свойств арифметического квадратного корня

Преобразование выражений, содержащих квадратные корни (продолжение)

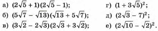
423. Выполните действия, используя формулы сокращённого умножения:

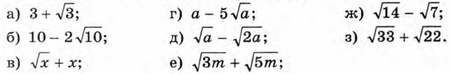
424. Выполните действия:

425. Выполните действия:

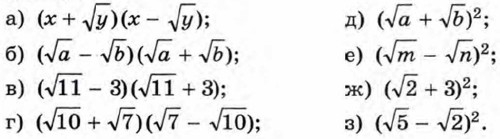
426. Преобразуйте выражение:

    а) (√x + 1)(√x - 1);
    б) (√x - √a)(√x + √a);
    в) (√m + √2)2;
    г) (√3 - √x)2;

    д) (5√7 - 13)(5√7 + 13);
    е) (2√2 + 3√3)(2√2 - 3√3);
    ж) (6 - √2)2 + 3√32;
    з) (√2 + √18)2 - 30.

427. Разложите на множители, используя формулу разности квадратов:

    а) ч2 - 7;
    б) 5 - с2;
    в) 4а2 - 3;

    г) 11 - 16b2;
    д) у - 3, где у ≥ 0;
    е) x - у, где x > 0 и у > 0.

428. Разложите на множители выражение:

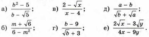
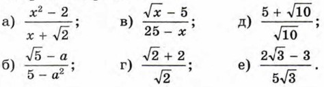
429. Сократите дробь:

430. Сократите дробь:

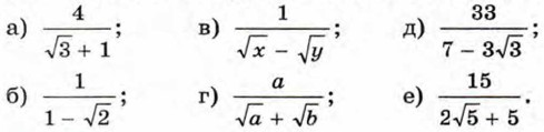
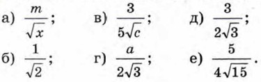
431. Освободитесь от иррациональности в знаменателе дроби:

432. Освободитесь от иррациональности в знаменателе дроби:

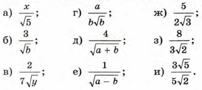
433. Освободитесь от иррациональности в знаменателе дроби:

434. Докажите, что значение выражения:

<<< К началу          Ответы >>>

 

 

???????@Mail.ru